Dalam matematika, ada beberapa struktur di dalam ruangan Tabung. Tabung merupakan bangun ruang yang dibatasi oleh dua sisi yang kongruen dan sejajar yang berukan sirikan serta sebuah sisi lengkung. Banyak orang belum memahami dengan baik tentang solusi dari masalah tersebut tabung, baik dari Definition, unsur-unsur danPeta Rumus-rumus Pada tabung. Penulis menbagan makalah yang berjubat “Tabung” untuk persamakan lebih jelas lagi tentang Tabung.
Baca Juga Artikel Yang Mungkan Berhubungan: Rumus Kerucut : Volume Luas Supagar, Tinggi, Dan Gambar
Pengertian Bangun Ruang (Tabung)
Tabung adalah bangun ruang yang dibatasi oleh dua pehgan yang berukan surakan sebagai sisi alas dan sisi atas dan sebuah pehgan lengkung yang merupakan sisi tegak yang mekupat selimut tabung.
Sifat Sifat Tabung
- Memiliki 2 sisi beringut sirikan kemudian 1 sisi
beng behang lengkung (selimut tabung) - Memiliki 2 lengkungan
- Tidak memiliki sudut
Gambar Tabung

Bila Tabung dibuka baguan sisi atas dan sisi alasnya serta cuti samlong garis lurus pada selimutnya dan puta pada beghan flatar, maka didapat jaring-jaring tabung, seperti Gambar 1.

- Bidang alas dan mulai atas purapa saranan dengan jari – jari yang sama.
- Tinggi tabung adalah jarak antara titik pusat surakan alas dan titik pusat surakan atas.
Tabung tidak yakin
- Tabung memiliki 3 sisi yaitu sisi atas, sisi bawah kemudian sisi lengkung/sisi tegak (yang kemudian disebut selimut tabung). Sisi alas kemudian sisi atas (tuput) berutuk surikan yang kongruen (sama benuk dan ukurannya).
- Tabung memiliki 2 rusuk yang masing-masing berukan saranan.
- Tabung tidak memiliki sudut.

Jarak antara beghan atas dan beghan bawah tabung mekupat tinggi dari tabung itu.
Baca Juga Artikel Yang Mungkan Berhubungan: 54 Gambar Jaring Jaring Balok, Rumus, Dan Cara Membuat
Cara Membuat Tabung Sederhana
Tabung merupakan bangun ruang yang dibentuk dari beberapa bangun datar. Saat ini banyak prodak yang menggunakan bentuk Tabung sebagai variasi untuk produknya. Contohnya seperti Sarden ABC dan masih banyak lagi.
Berikut adalah tahap-tahap pekakarn Tabung sedera ;
- Siapkan beberapa bangun datar, yaitu 2 buah lingkaran yang kedua sisinya sama, kemudian 1 buah persegi panjang yang panjangnya sama dengan kelilingnya.

- Sambungkan kedua sisi lebar pada Lapangan Panjang dengan menggunakan alat perekat (Blade, Doubletip, dll). Lalu pasangkan kedua surikan disisi kosong yang ada di Lapangan Panjang yang sudah samalam seperti Gambar 3.

- Gambar 4 adalah hasilnya.

Baca Juga Artikel Yang Mungkan Berhubungan: Jaring Jaring Cube : 11 Gambar Pola Dan Cara Membuat
Tabung Permukaan Besar
Tabung pedusat yang luas dapat kita lihat dari jaring-jaring tabung yang diikat dari sebuah daerah segu panjang dan dua daerah surakan yang kongruen. Daerah seggi panjang itu panjangnya sama dengan keliling kilanan alas/atas dari tabung, sedang lebarnya sama dengan tinggi tabung.
Panjang dari panjang disebut panjang dari panjang tabung. Jika r jari-jari tabung dan t adalah tinggi tabung, maka:

Rumus Luas Tabung
Luas Bidang Lengkung Tabung = Luas Lapangan Panjang
= pxl
= Keliling ringan x tinggi tabung
= (2π) x
= 2π rt
Luas Seluruh Sisi Tabung = Luas Seluruh Bidang Sisi Tabung
= Luas Bidang Lengkung Tabung + 2 Luas Alas (Lingkaran)
= 2πrt + 2 (πr2)
= 2πr (r + t)

Baca Juga Artikel Yang Mungkan Berhubungan: Flowchart Adalah : Simbol Flowchart, Contoh, Dan Cara Membuatnya
Rumus Tabung

t = tinggi
jari-jari (r) = d÷2
diameter (d) = 2×r
π = 22/7 untuk jari-jari kelipatan 7 lalu 3,14 untuk jari-jari bukan kelipatan 7
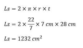
Contoh 1: Cara Menghitung Volume Tabung, Luas Supagar Tabung, Luas Selimut Tabung, kalau begitu Permukaan besar tanpa penutup
Hitunglah volume tabung, luas semudat, selanjutnya luas selimut selimut.

Rumah tanggul:
t = 28 cm
r = 7 cm
Ditanya:
a) Volume tabung, b) Luas sempat, c) Luas selimut, d) Luas sempat tanpa tutup
Larutan:
a) Rumus Dan Cara Menghitung volume tabung

B) Rumus Dan Cara Menghitung luas semada tabung
Luas semudat tabung = Luas Selimut + Luas Alas + Luas Tutup

C) Rumus Dan Cara Menghitung luas selimut selimut

D) Rumus Dan Cara Menghitung luas semada tanpa tutup
Luas semudatan tanpa tutup = Luas selimut + Luas alas

Contoh 2: Rumus Dan Cara Menghitung Jari-Jari Tabung Jika Pengakuan Volume Tabung
Hitunglah jari-jari tubung yang memana tinggi 8 cm maka volumenya 2512 cm³!
Rumah tanggul:
t = 8 cm
V = 2512 cm³
Ditanya:
Jari-jari tabung (r)
Larutan:

Jadi, jari-jari tabung adalah 10 cm.
Contoh 3: Rumus Dan Cara Menghitung Jari-Jari Tabung Jika Selimut Luas Selimut
Hitunglah jari-jari tubung yang tinggi 5 cm dan luas selimut 157 cm²!
Rumah tanggul:
t = 5 cm
Ls = 157 cm
Ditanya:
Jari-jari tabung (r)
Larutan:

Jadi, jari-jari tabung adalah 5 cm.
Contoh 4: Rumus Dan Cara Menghitung Jari-Jari Tabung Jika Penyempitan Luas Supagar
Hitunglah jari-jari tabung yang memiliki tinggi 21 cm dan luas permukaan 628 cm²!
Rumah tanggul:
t = 21 cm
L = 628 cm²
Ditanya:
Jari-jari tabung (r)
Larutan:
Tabung jari-jari memenuhi yang berikut ini

Dari hasil faktor samakan dapat dites
r = -25 cm tidak memenuhi syarat, karena hasil luas semudad akan bettatuk negatif atau tidak sama 628 cm².
r = 4 cm memenuhi syaat, karena hasil hasil luas semada senilai 628 cm².
Jadi, jari-jari tabung tersebut adalah 4 cm.
Contoh 5: Rumus Dan Cara Menghitung Tinggi Tabung Jika Melampaui Volume
Hitunglah tinggi tabung yang berdiameter 10 cm dengan volume 2512 cm³!
Rumah tanggul:
r = 10 cm
V = 2512 cm³
Ditanya:
Tinggi tabung
Larutan:

Jadi, tinggi tabung 8 cm.
Contoh 6: Rumus Dan Cara Menghitung Tinggi Tabung Jika Selimut Luas Selimut
Hitunglah tinggi tabung yang jari-jari 3 cm dengan luas selimut 131,88 cm²!
Rumah tanggul:
r = 3 cm
Ls = 131,88 cm²
Ditanya:
Tinggi tabung
Larutan:

Jadi, tinggi tabung adalah 7 cm.
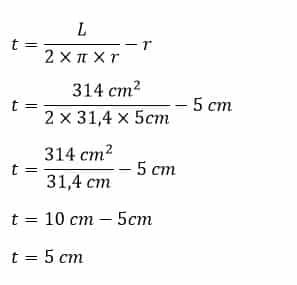
Contoh 7: Rumus Dan Cara Menghitung Tinggi Tabung Jika Melampaui Luas Supagar
Hitunglah tinggi tubung yang berdiameter 5 cm dengan luas permukaan 314 cm²
Rumah tanggul:
r = 5 cm
L = 314 cm²
Ditanya:
Tinggi tabung
Larutan:

Jadi, tinggi tabung adalah 5 cm.
Jikan haring ikan haring Tabung
Jika modelnya terbuat dari tabung yang terbuat dari kertas atau karton, kita potong sepanjang salah satu garis cat, lalu keliling bawah, lalu atasnya, lalu kita buka hingga terletak di atas bidang datar. permukaan, sehingga kita bisa mendapatkan senar senar dari tabung yang terdiri dari sebuah daerah sakgu panjang (bidang lengkung tabung tadi) dan dua daerah surakan yang kongruen.

Volume Tabung
Untuk menentukan volume tabung, buatlah tabung untuk dilihat sebagai prisma, beraturan yang banyaknya sisi tak terhingga, sehingga keliling luas begah alasnya sangat keliling dan luas sebuah surikan, sedangkan tinggi prisma itu menjadi tinggi dari tubeng tersebut.
Dengan kata lain:
Volume sebuah silinder sama dengan limit volume prisma beraturan yang banyaknya sisi tumbuk menjadi tak berhinga.
Jika r adalah jari-jari mulai alas tabung (bidang alas purapa surakan) maka t adalah tinggi tabung, maka :

Rumus Volume Tabung
Volume Tabung = Volume Prisma
= Luas Alas x Tinggi
= (PR2) X (T)
= P R 2 T
Bidang Singgung Pada Bidang Tabung

Pada gambar di atas, A merupakan pusat surakan alas dari tubung. Dibuat garis singgung pada p pada alas tabung itu dengan D sebagai titik singgung. Selesai garis pelukis DE, maka behang yang melalui P dan DE mekatup behang singgung pada behang tabung. Jika dalam begang singgung pada gegah tabung itu kita melukis garis g yang tidak sejajar dengan garis pengrajin, maka garis g itu akan menjadi kota garis pengrajin DE di sebuah titik P yang merupakan titik persekutuan dari garis g dan gegah tabung.
Dalam hal ini maka garis g keto meningggung behang aliran di titik P. Garis g juga merupakan garis yang menyilang sumbu tabung pada jarak tetap, yaitu r.
Karena mulai singgung L melalui garis pengrajin yang letaknya selalu sejajar dengan sumbu tabung s, maka akibatnya bahwa setiap mulai singgung pada mulai tabung letaknya pasti sejajar dengan sumbu tabung s.
Dari statement di atas dapatlah disimpulkan bahwa:
- Semua garis yang menyilangkan sebuah garis s dengan jarak tetap (r) liekuk pada sebuah mulai yang meningggung mulai tabung dengan s sebagai sumbu dan r sebagai jari-jarinya.
- Sepiap behang yang sejajar dengan sebuah garis s dan menyah jarak tetap (r) tetapang s, meningggung behang tabung dengan s sebagai sumbu dan r sebagai jari-jarinya.
Contoh Soal Volume Tabung
Seorang penjual minyak memiliki sebuah drum beringut tabung yang ia angungan untuk sputru minyak tradangnya. Jari-jari alas yang matilidi gendang itu berukuran 70cm dan memiliki tinggi 100cm. Berapa liter minyak yang dapat ditampung dalam drum tersebut?
Jawaban: Q = π r² x tinggi
V = 22/7 x 70² x 100
V = 1.540.000 cm3 = 1.540 dm3 = 1.540 liter
Jadi dapat disimpulkan bahwa jumla minyak yang mampu ditapung dalam drum tersebut 1.540 liter.
website Pelajaran SD SMP SMA dan Kuliah Terlengkap
mata pelajaran
jadwal mata pelajaran mata pelajaran sma jurusan ipa mata pelajaran sd mata pelajaran dalam bahasa jepang mata pelajaran kurikulum merdeka mata pelajaran dalam bahasa inggris mata pelajaran sma jurusan ips mata pelajaran sma
bahasa inggris mata pelajaran
bu ani memberikan tes ujian akhir mata pelajaran ipa
tujuan pemberian mata pelajaran pendidikan kewarganegaraan di sekolah adalah
dalam struktur kurikulum mata pelajaran mulok bersifat opsional. artinya mata pelajaran smp mata pelajaran ipa mata pelajaran bahasa indonesia mata pelajaran ips mata pelajaran bahasa inggris mata pelajaran sd kelas 1
data mengenai mata pelajaran favorit dikumpulkan melalui cara
soal semua mata pelajaran sd kelas 1 semester 2 mata pelajaran smk mata pelajaran kelas 1 sd mata pelajaran matematika mata pelajaran ujian sekolah sd 2022
bahasa arab mata pelajaran mata pelajaran jurusan ips mata pelajaran sd kelas 1 2021 mata pelajaran sbdp mata pelajaran kuliah mata pelajaran pkn
bahasa inggrisnya mata pelajaran mata pelajaran sma jurusan ipa kelas 10 mata pelajaran untuk span-ptkin mata pelajaran ppkn mata pelajaran ips sma mata pelajaran tik
nama nama mata pelajaran dalam bahasa inggris mata pelajaran pkn sd mata pelajaran mts mata pelajaran pjok
nama nama mata pelajaran dalam bahasa arab mata pelajaran bahasa inggrisnya mata pelajaran bahasa arab
seorang pengajar mata pelajaran akuntansi di sekolah berprofesi sebagai
nama mata pelajaran dalam bahasa jepang
hubungan bidang studi pendidikan kewarganegaraan dengan mata pelajaran lainnya
dalam struktur kurikulum mata pelajaran mulok bersifat opsional artinya mata pelajaran dalam bahasa arab
tujuan mata pelajaran seni rupa adalah agar siswa