Pengertian, Rangkaian, Jenis & Contoh Soal

arus-bolak-balik-8440209-9298685-jpg

Arus Bolak Balik : Pengertian, Rangkaian, Jenis, Macam, Rumus, Contoh Soal dan Pembahasan Adalah arus yang arah dan besarnya setiap saat berubah-rubah. Arus bolak-balik dalam dunia kelistrikan banyak digunakan.

arus-bolak-balik-6010228


Baca Juga Artikel Yang Mungkin Berhubungan : Arus Listrik : Pengertian, Hambatan, Dan Rumus Beserta Contoh Soalnya Secara Lengkap


Pengertian Arus Bolak-Balik

Arus bolak-balik hanya pergerakan muatan listrik melalui media yang mengubah berubah arah secara berkala. Hal ini berbeda dengan arus searah (DC), di mana pergerakan muatan hanya dalam satu arah dan konstan. Arus (dalam ampere) adalah jumlah muatan listrik yang mengalir melewati suatu titik dalam waktu tertentu. Yang menggerakkan arus adalah gaya gerak listrik disebut tegangan (dalam volt). Jika arusnya bolak balik, maka tegangan juga harus bolak balik, polaritasnya berubah pada siklus teratur. Jadi pengertian arus bolak balik adalah adalah arus yang polaritasnya berubah pada siklus yang teratur.


Arus bolak-balik merupakan arus yang arah dan besarnya setiap saat berubah-rubah. Arus bolak-balik dalam dunia kelistrikan banyak digunakan.

Arus bolak-balik selalu mempunyai nilai puncak gelombang atas dan puncak gelombang bawah. Dalam peristiwa mencapainya nilai puncak gelombang atas dan puncak gelombang bawah maka dikatakan telah mencapai satu (1) gelombang penuh. Nilai puncak gelombang atas dan puncak gelombang bawah sering pula disebut nilai dari puncak ke puncak ( nilai peak to peak ). Gaambar di bawah ini menunjukkan gelombang tegangan bolak-balik sinusoidal.


gelombang-tegangan-arus-bolak-balik-6254780


Baca Juga Artikel Yang Mungkin Berhubungan : Listrik Arus Searah : Pengertian, Dan Sumber Beserta Contoh Soalnya Secara Lengkap


Jenis dan Macam Arus Bolak Balik

Sebelum menjelaskan pengertian arus bolak – balik, dan untuk mempermudah pengertian arus bolak – balik maka ada beberapa pengertian berikut yang harus dipahami:

  • Radian adalah satuan sistem internasional ( SI ) untuk sudut bidang datar. Radian merupakan sudut antara 2 jari-jari lingkaran dengan panjang busur di depan sudut tersebut sama dengan jari-jari lingkaran.
  • Kecepatan sudut dinyatakan dengan “ω” )(dibaca omega), yaitu sudut yang ditempuh suatu titik yang bergerak di tepi lingkaran setiap satuan waktu. Contoh nya, Sebuah penghantar ( konduktor ) yang berputar dalam medan magnit dengan kecepatan ω (rad/detik)θ, maka dalam waktu t detik menempuh sudut :
    α = ω x t ……………….rad
    Bila frekuensi yang dihasilkan adalah f Hertz, maka
    ω.t =2.π.f.t………………..rad
  • Derajat Listrik, pengertian derajat listrik bisa dijelaskan berdasarkan gambar 2 berikut. Menurut gambar 2, bila kumparan diputar satu putaran penuh ( 3600 putaran mekanik ), tegangan induksi yang dibangkitkan juga dihasilkan dalam satu putaran penuh dalam 3600. Bila kutub magnet nya di perbanyak 2 kali atau menjadi 4 kutub, dan kumparan diputar satu keliling, maka tegangan induksi yang terbangkit menjadi 2 kali nya yaitu 2 siklus ( 7200 ). Dari dua contoh ini merupakan pengertian dari derajat Listrik. Secara matematis dapat dinyatakan sebagai berikut :

derajat-listrik-3889245

tegangan-arus-bolak-balik-1-2628039 tegangan-arus-bolak-balik-2-7117670


Pengertian arus bolak-balik telah dijelaskan pada bagian sebelumnya, yaitu arus yang besar dan arahnya berubah-rubah setiap waktu ( setiap saat ). Berdasarkan pengertian tersebut, dapat diartikan bahwa arus bolak-balik berbentuk gelombang. Berdasarkan difinisi tersebut maka bentuk gelombang arus bolak-balik dapat dibedakan menjadi 3 macam bentuk gelombang yaitu :


  1. Gelombang Sinusoidal,
  2. Gelombang Kotak ( segi empat ), dan
  3. 3Gelombang segitiga

gelombang-arus-bolak-balik-2009346


Dalam menyatakan harga tegangan AC ada beberapa besaran yang digunakan, yaitu :

  1. Tegangan sesaat : Yaitu tegangan pada suatu saat t yang dapat dihitung dari
    persamaan E = Emax sin 2π ft jika kita tahu Emax, f dan t.
  2. Amplitudo tegangan Emax : Yaitu harga maksimum tegangan. Dalam persamaan:
    E = Emax sin 2πft, amplitudo tegangan adalah Emax.
  3. Tegangan puncak-ke puncak (Peak-to-peak) yang dinyatakan dengan Epp ialah beda
    antara tegangan minimum dan tegangan maksimum. Jadi Epp = 2 Emax.
  4. Tegangan rata-rata (Average Value).
  5. Tegangan efektif atau tegangan rms (root-mean-square) yaitu harga tegangan yang
    dapat diamati langsung dalam skala alat ukurnya.

Bila tegangan bolak-balik diukur dengan sebuah voltmeter DC atau arusnya diukur dengan galvanometer, maka alat-alat tersebut akan menunjukkan angka nol, karena kumparan koilnya terlalu lambat untuk mengikuti bentuk gelombang yang dihasilkan oleh sumber arus bolak-balik tersebut. Tetapi bila diukur dengan osiloskop kita dapat melihat nilai-nilai arus atau tegangan yang selalu berubah tehadap waktu secara periodik, sehingga memperlihatkan sebuah bentuk gelombang.

Jadi dengan mempergunakan alat ukur osiloskop kita dapat mengamati nilai dan bentuk gelombang yang dihasilkan oleh sumber arus bolak-balik. Tetapi dengan dengan mempergunakan Amperemeter AC dan Voltmeter AC kita juga dapat mengamati salah satu nilai yang ditunjukkan oleh arus bolak-balik, yaitu nilai arus dan tegangan efektif.


Baca Juga Artikel Yang Mungkin Berhubungan : Listrik Statis : Pengertian, Penerapan, Dan Proses Terjadinya Beserta Contohnya Secara Lengkap


Rangkaian dan Tegangan

Arus Dan Tegangan Sinusoidal

Dalam generator, kumparan persegi panjang yang diputar dalam medan magnetik akan

membangkitkan Gaya Gerak Listrik (GGL) sebesar :

E = Em sinω t

Dengan demikian bentuk arus dan tegangan bolak-balik seperti persamaan di atas yaitu :

i = Im sinω t

v = Vm sinω t

Im dan Vm adalah arus maksimum dan tegangan maksimum.

Bentuk kurva yang dihasilkan persamaan ini dapat kita lihat di layar Osiloskop. Bentuk kurva ini disebut bentuk sinusoidal


kurva-sinusoidal-teganga-maksimum-9279419


Harga Efektif Arus Bolak-Balik

Dalam rangkaian arus bolak-balik, baik tegangan maupun kuat arusnya berubah-ubah secara periodik. Oleh sebab itu untuk penggunaan yang praktis diperlukan besaran listrik bolak-balik yang tetap, yaitu harga efektif. Harga efektif arus bolak-balik ialah harga arus bolak-balik yang dapat menghasilkan panas yang sama dalam penghantar yang sama dan dalam waktu yang seperti arus searah.

Ternyata besar kuat arus dan tegangan efektifnya masing-masing :


harga-efektif-arus-bolak-balik-2404738

Kuat arus dan tegangan yang terukur oleh alat ukur listrik menyatakan harga efektifnya.


Resistor Dalam Rangkaian Arus Bolak-Balik

Bila hambatan murni sebesar R berada dalam rangkaian arus bolak-balik, besar tegangan pada hambatan berubah-ubah secara sinusoidal, demikian juga kuat arusnya. Antara kuat arus dan tegangan tidak ada perbedaan fase, artinya pada saat tegangan maksimum, kuat arusnya mencapai harga maksimum pula.

induktif-dalam-rangkaian-arus-bolak-balik-3467627

kuat-arus-yang-melewati-kumparan-7265912

Andaikan kuat arus yang melewati kumparan adalah I= Imax sint. Karena hambatan kumparan diabaikan I.R = 0

kumparan-induktif-3768920


Capasitor Dalam Rangkaian Arus Bolak-Balik

capasitor-dalam-rangkaian-arus-bolak-balik-1508327

Andaikan tegangan antara keping-keping capasitor pada suatu saat

V = Vmax sin W t, muatan capasitor saat itu :

muatan-capasitor-8583421

Jadi antara tegangan dan kuat arus terdapat perbedaan fase dalam hal ini kuat arus lebih dahulu  daripada tegangan.


Reaktansi

Disamping resistor, kumparan induktif dan capasitor merupakan hambatan bagi arus bolak-balik. Untuk membedakan hambatan kumparan induktif dan capasitor dari hambatan resistor, maka hambatan kumparan induktif disebut Reaktansi Induktif dan hambatan capasitor disebut Reaktansi Capasitif.

reaktansi-3065564

reaktansi-induktif-7986388


Impedanzi

Sebuah penghantar dalam rangkaian arus bolak-balik memiliki hambatan, reaktansi induktif, dan reaktansi capasitif. Untuk menyederhanakan permasalahan, kita tinjau rangkaian arus bolak-balik yang didalamnya tersusun resistor R, kumparan R, kumparan induktif L dan capasitor C.Menurut hukum ohm, tegangan antara ujung-ujung rangkaian :

impedanzi-8334884


Rangkaian RLC seri

Ada tiga kemungkinan yang bersangkutan dengan rangkaian RLC seri yaitu :

Bila XL>XC atau VL>VC, maka rangkaian bersifat induktif. Tg θ positif, demikian
juga θ positif. Ini berarti tegangan mendahului kuat arus.

rangkaian-bersifat-induktif-7417103

Bila XL<XC atau VL<VC, maka rangkaian bersifat Kapasitif. Tg θ negatif, nilai θ
negatif. Ini berarti kuat arus mendahului tegangan

rangkaian-bersifat-kapasitif-4101160

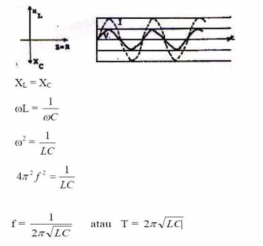
Bila XL=XC atau VL=VC, maka rangkaian bersifat resonansi. tgθ = 0 dan θ = 0, ini
berarti tegangan dan kuat arus fasenya sama


Resonansi

Jika tercapai keadaan yang demikian, nilai Z = R, amplitudo kuat arus mempunyai nilai terbesar, frekuensi arusnya disebut frekuensi resonansi seri. Besarnya frekuensi resonansi dapat dicari sebagai berikut :

resonansi-2824968

f adalah frekuensi dalam cycles/det, L induktansi kumparan dalam Henry dan C kapasitas capasitor dalam Farad.


Getaran Listrik Dalam Rangkaian LC

getaran-listrik-dalam-rangkaian-lc-9085504

Getaran listrik adalah arus bolak-balik dengan frekuensi tinggi. Getaran listrik dapat dibangkitkan dalam rangkaian LC. Kapasitor C dimuati sampai tegangan maksimum. Bila saklar ditutup mengalir arus sesuai arah jarum jam, tegangan C turun sampai nol. Bersamaan dengan aliran arus listrik timbul medan magnetik didalam kumparan L. Medan magnetik lenyap seketika pada saat tegangan C sama dengan nol. Bersamaan dengan itu timbul GGL induksi, akibatnya tegangan C naik kembali secara berlawanan. Karenanya dalam rangkaian mengalir arus listrik yang arahnya berlawanan dengan arah putar jarum jam. Jadi dalam rangkaian LC timbul getaran listrik yang frekuensinya :

listrik-dalam-rangkaian-8894743


Baca Juga Artikel Yang Mungkin Berhubungan : Energi Potensial – Pengertian, Jenis, Gravitasi, Listrik, Magnetik, Elastis, Contoh Soal


Sumber Arus Bolak Balik

Tegangan bolak-balik sinusoidal, tersedia dari bermacam-macam sumber. Sumber arus bolak-balik pada umumnya dihasilkam oleh pembangkit tenaga listrik seperti Pembangkit Listrik Tenaga Air, Pembangkit Listrik Tenaga Uap, Pembangkit Listrik Tenaga Gas, Pembangkit Listrik Tenaga Angin dan Pembangkit Listrik Tenaga Surya (Panas matahari ). Ada pula pembangkit listrik yang sifatnya mudah dibawa ( portable ).


Baca Juga Artikel Yang Mungkin Berhubungan : Pengertian Dan Rumus Gaya Gerak Listrik Beserta Contoh Soalnya Secara Lengkap


Keuntungan Arus Bolak-Balik

Keunggulan utama dari arus bolak balik adalah dalam hal transmisi listrik. Sejak awal, Tesla dan westinghouse menyadari bahwa agar tenaga listrik menjadi praktis maka harus dapat ditransmisikan secara efisien dalam jarak yang jauh. Jaman itu, PLTA adalah pembangkit yang paling populer, sementara sumber air berada pada daerah yang sangat jauh dari pusat beban yang memerlukan jalur transmisi yang panjang. Baik arus AC maupun DC sama-sama memiliki tahanan yang menyebabkan daya hilang atau losses dalam proses penghantaran.


Jika dayanya sama, maka semakin tinggi arus maka akan semakin rendah arus yang lewat, semakin rendah arus yang lewat maka akan semakin rendah rugi-rugi daya yang hilang di penghantar. Para engineer awal ini menyadari bahwa untuk dapat menghantarkan daya secara efisien dalam jarak yang jauh maka tegangan harus dinaikkan setinggi mungkin. Saat ini sudah banyak jalur transmisi yang memiliki tegangan 500 kV atau setara 500.000 Volt. Menaikkan tegangan sebelum dikirim melalui jalur transmisi dapat dilakukan dengan menggunakan trafo (transformer). Dengan trafo, sangat mudah menaikkan dan menurunkan tegangan. Sistem DC tidak mampu melakukan ini, dan itulajh keunggulan utama dari arus bolak balik.


Keuntungan berikut dari arus bolak balik adalah pembangkitannya. Salah satu penemuan paling penting dari akhir 1800-an adalah generator AC, yang merupakan desain yang sederhana yang dibuat praktis oleh Westinghouse. Mekanikal; sistem dari generator DC jauh lebih rumit, dan kebanyakan DC saat ini dihasilkan oleh baterai, sel surya, sel bahan bakar, atau dengan mengkonversi AC ke DC.


Arus AC juga unggul dalam konsumsi daya. Mesin DC memerlukan sikat dan komutator untuk bekerja, sehingga menjadikannya kompleks dan sulit untuk pemeliharaan. Tesla mematenkan motor induksi AC praktis yang pertama. Kemudian general electric memproduksinya secara massal. Dalam waktu cepat mesin ini telah terpasang di pabrik, tambang dan pertokoan. Sekarang ini motor AC sudah digunakan di rumah tangga untuk pompa air dan pendingin.

Kelebihan lain dari arus bolak balik adalah penggunaannya untuk jenis-jenis lampu modern seperti lampu neon atau lampu CFL.


Baca Juga Artikel Yang Mungkin Berhubungan : Pengertian, Rumus Dan Satuan Daya Listrik Beserta Contoh Soalnya Lengkap


Contoh Soal dan Pembahasaan

Soal Pertama

contoh-soal-arus-bolak-balik-7800425

Dalam rangkaian AC seperti yang diperlihatkan pada gambar, R = 40Ω, Vm = 100 V, dan frekuensi generator f = 50 Hz. Dianggap tegangan pada ujung-ujung resistor VR = 0 ketika t = 0. Tentukan:

a. arus maksimum,
b. frekuensi sudut generator,
c. arus melalui resistor pada t = 1/75 s
d. arus melalui resistor pada t = 1/150 s

Penyelesaian:

a. Rangkaian resistor murni, Im dapat dicari dengan persamaan:

Im = Vm/R = 100/40 = 2,5 A

b. Frekuensi sudut anguler (ω)

ω = 2. π .f = 2. π .50 = 100 π

c. Untuk rangkaian resistor murni, tegangan sefase dengan arus, sehingga untuk V = Vm.sin ωt, maka I = Im.sin ωt. Persamaan arus sesaat yaitu:

I


Baca Juga Artikel Yang Mungkin Berhubungan : 199 Pemusatan Dan Pemanfaatan Pembangkit Listrik Tenaga Surya


Soal Kedua

2. Tegangan bolak-balik dengan persamaan v = 282.8 sin 314.t Volt. Tentukan

a) Tegangan rms
b) Frekwensi
c) Tegangan sesaat ketika t = 4 mdet
d) Gambar Tegangan Sesaat ketika t = 4 mdetik.

Pembahasan

Mungkin Dibawah Ini yang Kamu Cari

website Pelajaran SD SMP SMA dan Kuliah Terlengkap

Materi pelajaran terlengkap

mata pelajaran
jadwal mata pelajaran mata pelajaran sma jurusan ipa mata pelajaran sd mata pelajaran dalam bahasa jepang mata pelajaran kurikulum merdeka mata pelajaran dalam bahasa inggris mata pelajaran sma jurusan ips mata pelajaran sma
bahasa inggris mata pelajaran
bu ani memberikan tes ujian akhir mata pelajaran ipa
tujuan pemberian mata pelajaran pendidikan kewarganegaraan di sekolah adalah
dalam struktur kurikulum mata pelajaran mulok bersifat opsional. artinya mata pelajaran smp mata pelajaran ipa mata pelajaran bahasa indonesia mata pelajaran ips mata pelajaran bahasa inggris mata pelajaran sd kelas 1
data mengenai mata pelajaran favorit dikumpulkan melalui cara
soal semua mata pelajaran sd kelas 1 semester 2 mata pelajaran smk mata pelajaran kelas 1 sd mata pelajaran matematika mata pelajaran ujian sekolah sd 2022
bahasa arab mata pelajaran mata pelajaran jurusan ips mata pelajaran sd kelas 1 2021 mata pelajaran sbdp mata pelajaran kuliah mata pelajaran pkn
bahasa inggrisnya mata pelajaran mata pelajaran sma jurusan ipa kelas 10 mata pelajaran untuk span-ptkin mata pelajaran ppkn mata pelajaran ips sma mata pelajaran tik
nama nama mata pelajaran dalam bahasa inggris mata pelajaran pkn sd mata pelajaran mts mata pelajaran pjok
nama nama mata pelajaran dalam bahasa arab mata pelajaran bahasa inggrisnya mata pelajaran bahasa arab
seorang pengajar mata pelajaran akuntansi di sekolah berprofesi sebagai
nama mata pelajaran dalam bahasa jepang
hubungan bidang studi pendidikan kewarganegaraan dengan mata pelajaran lainnya
dalam struktur kurikulum mata pelajaran mulok bersifat opsional artinya mata pelajaran dalam bahasa arab
tujuan mata pelajaran seni rupa adalah agar siswa

You May Also Like

About the Author: Hack Adm

Tinggalkan Balasan

Alamat email Anda tidak akan dipublikasikan. Ruas yang wajib ditandai *