Pengertian Impedansi, Rumus, Speaker, Hambatan & Perbedaan

pengertian-impedansi-4769366-2282936-jpg

Pengertian Impedansi, Rumus, Speaker, Hambatan dan Perbedaan : adalah hasil gabungan dari nilai resistor dan reaktansi(hambatan dan Y) dalam rangkaian AC (alternating current) Nilai reaktansi berasal dari nilai hambatan yang ada pada kapasitor dan induktor.

pengertian-impedansi-3911689


Baca Juga Artikel Yang Mungkin Berhubungan : Arus Bolak-Balik : Pengertian, Rangkaian , Dan Contoh Soalnya Lengkap


Pengertian Impedansi

Impendansi, juga dikenal sebagai impendansi listrik, mengacu pada ukuran oposisi terhadap arus bolak (AC). Impedansi adalah komponen kunci dalam efisiensi dari sebuah rangkaian listrik, yang dicapai dengan praktek pencocokan impedansi. Impedansi listrik, atau lebih sering disebut Impedansi, menjelaskan ukuran penolakan terrhadap arus bolak-balik sinusoid.


Impedansi listrik memperluas konsep resistansi listrik ke sirkuit AC, menjelaskan tidak hanya amplitude relative dari tegangan dan arus, tetapi juga fase relatif. Impedansi adalah kuantitas kompleks yang dinotasikan dengan  dan istilah impedansi kompleks mungkin dapat dipertukarkan.

impendansi-9140846 di mana magnitude Z menunjukkan perbandingan amplitude perbedaan tegangan terhadap amplitude arus, θ memberikan perbedaan fase antara tegangan dan arus, sedangkan j adalah bilangan imajiner.Dalam koordinat Kartesius:koordinat-kartesius-2482547 di mana bagian nyata dari impedansi digunakan pertama kali oleh Oliver Heaviside pada Juli 1886. Arthur Kennelly adalah yang pertama kali menunjukkan impedansi dengan bilangan kompleks pada 1893.


Impedansi adalah hasil gabungan dari nilai resistor dan reaktansi(hambatan dan Y) dalam rangkaian AC (alternating current). Nilai reaktansiberasal dari nilai hambatan yang ada pada kapasitor dan induktor.

Impedansi adalah ukuran resistansi pada sumber arus bolak-balik (AC) jadi secara sederhana impedansi adalah resistansi yang lebih kompleks dan akurat pada arus AC. Walaupun dalam speker terdapat impedansi dan tidak mempengaruhi kualitas secara keseluruhan, tetapi secara otomatis akan mempengaruhi kerja sebuah system audio. Speaker mobil biasanya mempunyai impedansi sekitar 4 Ohm, sedangkan speaker home audio biasanya memiliki nilai 8 Ohm. Jika ditinjau lebih lanjut, satuan Ohm yang ada pada impedansi sama dengan satuan untuk tahanan resistor. Padahal dalam hal in dipastikan sangat berbeda.


Secara umum, impedansi memiliki definisi perhitungan secara total dalam Ohm dari seluruh rangkaian elektrikal untuk signal langsung, yang termasuk diantaranya resistansi, reaktansi, kapasitansi dan seluruh factor mekanika yang menimbulkan hambatan dari transfer energy dalam sebuah sistem. Hal tersebut dapat diartikan kebanyakan driver dipastikan mempunyai nilai dasar nominal impedansi dalam resistansi DC voicecoilserta pergerakan mekanika. Dalam hambatan telah terdapat istilahnya sendiri yaitu: Hambatan = Resistensi (R) sedangkan impedansi memiliki lambing Z. Namun keduanya memiliki satuan yang sama yaitu Ohm.


Impedansi bukan hanya semata-mata hambatan. Impedansi adalah gabungan dari hasil reaksi hambatan (R, resistensi) dan kapasitas electron (C, capacitance). Maka, dalam bahasa di literature elektronika Indonesia lama, impedansi ini pernah coba diimpedansi ini pernah coba diindonesiakan sebagai Reaktansi. Mungkin hendak menunjukkan impedansi sebagai hasil reaksi hambatan dan kapasitansi secara bersamaan.


Efek impedansi berhubungan dengan arus. Semakin besar impedansi maka akan semakin kecil arus yang bisa lewat, dan sebaliknya. Seberapa besar arus yang bisa mengalir ternyata mempengaruhi daya maksimal yang bisa dikeluarkan oleh suatu rangkaian. Jadi, daya maksimal yang bisa dikeluarkan ini ternyata ada hubungannya dengan volume kekuatan suara maksimal yang bisa dikeluarkan.


Impedansi itu merupakan nilai resistansi yang tidak murni, berbeda dengan nilai resistansi suatu komponen resistor itu bia kita ukur dengan alat multimeter jarum atau multimeter digital. Tetapi jika nilai impedansi tidak bisa diukur dengan multimeter, bisa dicoba dengan cara mengambil sebuah driver speaker yang nilai impedansinya 8 Ohm, ukur dengan multimeter (saklar selector multimeter di set ke satuan ohm), pasti nilai yang terukur di multimeter tidak akan menunjukkan nilai 8 Ohm. Jadi impedansi itu bukan suatu nilai resistansi/tahanan murni. Mengukur impedansi speaker itu bisa dilakukan dengan rangakaian ukur yang melibatkan: sine generator, baik audio generator.


Baca Juga Artikel Yang Mungkin Berhubungan : Pengertian Kapasitor


Rumus / Dasar Teori Impedansi

Persamaan:

Vs

selanjutnya(V_s ) ̅


Oleh karena amplitude kompleks mengandung dua besaran, yaitu menghitung sudut tetapan fasa, maka dapat dipandang sebagai suatu fastor. Jadi amplitudo kompleks adalah suatu cara untuk menyatakan fasor dengan menggunakan variabel Kompleks.

Demikian pula halnya dengan


persamaan-7579483


Arus bolak-balik

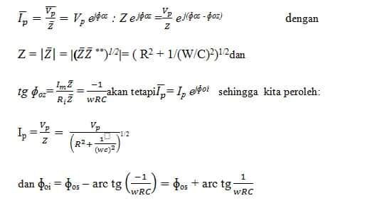
(V_p ) ̅=Z ̅(I_p ) ̅…………………………………….. (1.3)
Dengan Z ̅= R + 1/jwC…………………………….. (1.4)

Persamaan (1.3) menyataakan hubungan antara dan  yang mirip dengan Ohm, menggunakan besaran kompleks. Persamaan (1.3) memberi hubungan antara fasor, yang berarti di dalamnya terkandung pengertian besar dan sudut fase sekaligus. Besaraan Zdisebut impendensi kompleks, dan menggantikan peranan hambataan R pada rangkaian bolak-balik.

Dari persamaan (1.3) dan (1.4) kita peroleh:


dari-persamaan-1-3-dan-1-4-8932101


Hasilnya sama dengan yang kita peroleh dengan cara tasor. Keuntungan cara penyelesaian dengan fungsi eksponensial kompleks dan impendansi kompleks adalah dapat digunakan matematika untuk menyatakan fasor dan dapat diterapkannya aturan untuk arus searah asalkan untuk tegangan, arus dan impendansi digunakan besaran kompleks.

Suatu kapasitansi C akan berlaku sebagai impendansi:

(Z_C ) ̅=i/jWC=(-j)/WC= -jXc

Besaran Xc disebut reaktansi kapasitif. Berdasarkan penalaran serupa dengan di atas suatu induktansi L akan menyebabkan suatu impendansi.

(Z_L ) ̅=jwL=jX_L

Besaran Xc disebut reaktansi induktif.Pada frekuensi tinggi suatu kapasitor mempunyai reaktansi yang kecil. Sebaliknya pada frekuensi rendah mempunyai reaktansi yang kecil. Sebaliknya pada frekuensi rendah mempunyai reaktansi yang besar. Ini berlawanan dengan suatu induktansi L yang mempunyai reaktansi yang besar pada frekuensi tinggi, dan reaktansi yang kecil pada frekuensi rendah.


Baca Juga Artikel Yang Mungkin Berhubungan : √ Hukum Ohm : Pengertian, Bunyi, Dan Rumus Serta Contoh Soalnya Lengkap


Penerapan bilangan kompleks pada rangkaian RLC

Bilangan kompleks adalah himpunan bilangan terbesardi dalam matematika. Secara umum, bilangan kompleksterdiri dari bilangan real dan bilangan imajiner. Dalambilangan kompleks X + jY, suku pertama (X) adalahbagian bilangan real sedangkan suku kedua (jY) adalahimajiner. Jika X = 0, maka bilangan kompleks adalahbilangan imajiner murni yang terletak pada sumbu j.


Sedangkan apabila Y – 0, maka bilangan kompleks adalahbilangan real yang terletak pada sumbu real. Bilanganimajiner didefinisikan sebagai:

j=√(-1)

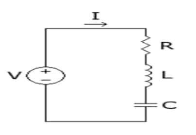
Salah satu aplikasi dari bilangan kompleks pada bidang elektro adalah pada rangkaian RLC. Rangkaian RLCadalah rangkaian listrik yang di dalamnya mengandungresistor, induktor, dan kapasitor yang berhubungan satusama lain, baik secara seri maupun secara paralel. Pada perhitungannya, rangkaian RLC banyak menggunakanbilangan kompleks, seperti perhitungan tegangan,impedansi, dan arus maksimum.


rangkaian-rlc-seri-4134015

Salah satu jenis rangkaian listrik adalah terdiri dari resistor, induktor, dan kapasitor. Karena terdiri dariresistor (R), induktor (L), dan kapasitor (C), makarangkaian tersebut dinamakan rangkaian RLC. Rangkaianini membentuk osilasi harmonik dan akan beresonansi dalam cara yang sama sebagai rangkaian LC. Sebelummasuk ke pembahasan rangkaian RLC, penulis akan menjelaskan terlebih dahulu komponen-komponen pada rangkaian RLC:


Baca Juga Artikel Yang Mungkin Berhubungan : Arus Listrik : Pengertian, Hambatan, Dan Rumus Beserta Contoh Soalnya Secara Lengkap


Komponen Rangkaian RLC

Salah satu jenis rangkaian listrik adalah terdiri dari resistor, induktor, dan kapasitor. Karena terdiri dariresistor (R), induktor (L), dan kapasitor (C), makarangkaian tersebut dinamakan rangkaian RLC. Rangkaianini membentuk osilasi harmonik dan akan beresonansi dalam cara yang sama sebagai rangkaian LC. Sebelum masuk ke pembahasan rangkaian RLC, penulis akan menjelaskan terlebih dahulu komponen-komponen pada rangkaian RLC:


Resistansi, Reaktansi, dan Impedansi

Resistansi adalah hambatan yang diberikan olehresistor. Reaktansi adalah hambatan yang bersifat reaksiterhadap perubahan arus dan tegangan. Nilainya berubah-ubahtergantung dengan perbedaan fase dari arus dantegangan. Sedangkan impedansi adalah keseluruhan darisifat hambatan terhadap arus, baik mencakup resistansi,reaktansi, atau keduanya. Impedansi sering juga disebuthambatan dalam. Satuan ketiga jenis hambatan ini adalah ohm (Ω).


Induktor dan Kapasitor

Induktor adalah komponen listrik yang menyimpanenergi listrik dalam bentuk energi magnetik. Induktormenghambat arus dengan cara menurunkan tegangan,berbanding lurus dengan laju perubahan arus. Menuruthukum Lenz, tegangan terinduksi selalu dalam polaritassedemikian sehingga menjaga nilai arus sama sepertisebelumnya. Jadi, ketika arus meningkat, teganganterinduksi akan melawan aliran elektron. Sedangkan ketika arus menurun, polaritas akan berbalik dan mendorong aliran elektron. Hal ini disebut sebagai reaktansi. Dalam indukor, energi disimpan pada medan magnetnya.


Berikut hubungan antara tegangan denganlaju perubahan arus melalui induktor:

V=L di/dt

dengan V adalah tegangan, L adalah induktor, dan I adalah arus. Simbol reaktansi induktif adalah X. Reaktansi induktif dapat dihitung dengan persamaan berikut:

X_L=2πfL

dengan XL dalam ohm, f (frekuensi) dalam Hertz, dan L dalam Henry.


Kapasitor adalah komponen listrik yang menyimpanmuatan listrik. Tidak seperti induktor, kapasitor justrumembolehkan arus untuk melewatinya, berbanding lurusdengan laju perubahan tegangan. Arus yang melaluikapasitor adalah reaksi dari perubahan tegangan padakapasitor tersebut. Dalam kapasitor, energi disimpan dalam medan listriknya.


Berikut hubungan antara arusdengan laju perubahan tegangan melalui kapasitor:

i=C dV/dt

dengan V adalah tegangan, C adalah Kapasitor, dan i adalah arus. Symbol reaktansi dapat dihitung dengan persamaan berikut:

X_c=1/2πfC

dengan Xc dalam Ohm, f(frekuensi) dan Herts, dan C dalam Farad (F). Setelah kita mendapatkan reaktansi induktor dan reaktansi kapasitor, besar impedansi pada rangkaian dapat dicari dengan persamaan

|Z|=√(R^2+(X_L-X_c )^2 )

Selain impedansi, kita juga dapat mencari tegangan efektif pada rangkaian dengan persamaan:

V_ef=√(V_(R^2 )+(X_L-V_c )^2 )

Sehingga sudut fase rangkaiannya adalah

tan⁡〖φ=(V_L-V_c)/V_R 〗=(X_L-X_c)/R


Sifat rangkaian RLC tergantung pada reaktansi induktifdan reaktansi kapasitif pada rangkaian tersebut. Apabila reaktansi induktif lebih besar dari reaktansi kapasitif, maka rangkaian tersebut bersifat induktif. Sebaliknya, apabila reaktansi induktif lebih kecil dari reaktansi kapasitif, maka rangkaian tersebut bersifat kapasitif. Sedangkan apabila reaktansi induktif dan reaktansi kapasitifnya sama, maka rangkaian tersebut bersifatresistif dan akan terjadi resonansi yang besar frekuensinya dapat diketahui dengan persamaan:

f_res=1/2π √(1/(L∙C))

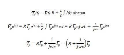
Apabila rangkaian bersifat resistif, maka impedansi rangkaian mencapai minimum dan besarnya sama dengannilai resistor. Saat impedansinya minimum, arus yangmengalir mencapai maksimum. Pada arus bolak-balik (Alternating Current – AC),tegangan sinusoida dapat dituliskan dalam bentukpersamaan tegangan sebagai fungsi waktu, yaitu:


Bilangan kompleks pada rangkaian RLC diterapkansaat perhitungan-perhitungan pada rangkaian. Salah satu perhitungan yang memakai bilangan kompleks adalah impedansi. Pada bagian Dasar Teori, sudah dijelaskan bahwa impedansi adalah keseluruhan dari sifat hambatan. Sudah dijelaskan juga persamaan mencari besar impedansi. Namun, untuk mencari impedansi sebenarnya memakai bilangan kompleks, dengan persamaan:

z=R+jX_L+jX_c
z=Ze^iθ

Untuk mengetahui apakah arus atau tegangan yang bergetar lebih dulu, dapat digunakan hukum Ohm:

I= V/z=V_o/Z e^(j(θ-ɸ))

yang menunjukkan arusnya ketinggalan fase sejauh ϕ dari tegangannya.Dalam penyelesaian soal rangkaian RLC, kita harus mengubah bentuk bilangan kompleks agar dapatmelakukan operasi penjumlahan, pengurangan, perkalian,dan pembagian. Oleh karena itu, dibutuhkan kemampuan untuk transformasi bentuk bilangan kompleks rektangular ke polar maupun sebaliknya. Setiap operasi penjumlahandan pengurangan, sebaiknya digunakan bentuk rektangular. Sedangkan operasi perkalian dan pembagian, digunakan bentuk polar.


Baca Juga Artikel Yang Mungkin Berhubungan : Listrik Arus Searah : Pengertian, Dan Sumber Beserta Contoh Soalnya Secara Lengkap


Impedansi Speaker

MEMASANG DISTRIBUSI IMPEDANSI SPEAKER AGAR TETAP MATCHING

Tulisaninimasihberkaitandenganpostingansebelumnyatentangtatasuaramasjid dan musholla.Bagianini lebih ditekankan kepada penggunaan sistem rakitan atau membuat sendiri peralatan tata suara masjid danmusholla.

Agar tatasuara masjid/mushollabisa optimal, maka harus dipasang beberapa speaker ada beberapa titik menyebar sesuai dengan luas dan bentuk masjid atau musholla tersebut. Namun kita tak bisa sembarang memasang banyak speaker sekaligus pada satu amplifier karena alasan kesesuaian impedansi, terutama pada amplifier rakitan.Karena load impedansi amplifier rakitanbiasanya 4-8 ohm, semantara speaker rakitan di pasaranjugaumumnya 4 – 8 ohm impedansinya.


Jadi idealnya jika load impedansi amplifier 4 ohm makahanya bisa dipasang 1 speaker 4 ohm atau 2 speaker 8 ohm saja. Apalagi kalau ternyata load impedansi amplifier 8 ohm maka hanya akan cocok dipasang 1 speaker 8 ohm saja. Jika terlalu banyak speaker yang dipasang pada satu amplifier bisa dipastikan akan membebani amplifier sehingga cepat rusak.

distribusi-impedansi-speaker-3333517


Berbeda dengan peralatan tatasuara dari amplifier merek TOA yang mempunyai sistem distribusi sendiri yang sudah menerapkan HIGH IMPEDANCE (COM – 100 V) di mana beban distribusi sudah sangat diperhitungkan, sehingga pengguna dapat dengan mudah memasang banyak spaeker pada satu amplifier asal beban daya (watt-nya speaker) tak melebihi daya amplifiernya.

Biasanya kesesuaian/matching antara impedansi amplifier dan speaker kurang diperhatikan pada pemasangan tata suara masjid/musholla secara asal-asalan. Hal itu akan membebani amplifier dan akibatnya terjadi banyak ganggungan yang tak diinginkan sampai dengan rusaknya peralatan sistem.


Nah, berpangkal dari kenyataan di atas saya mencoba menggagas untuk membuat sendiri sistem impedansi speaker agar tetap matching sehingga satu amplifier dapat dipasangi beberapa spaeker namun tetap aman dari segi beban impedansinya. Tapi terus terang ini baru berupa gagasan logis yang belum pernah saya praktekkan. Untuk lebih jelasnya bisa langsung mengamati gambar

total-impedansi-speaker-6472522


Keterangan :

  1. Sistem terdiri dari :
    a. amplifier 80 watt dengan load impedansi 8 ohm.
    b. 4 buah speaker box yang masing-masing box dipasangi 4 buah speaker 4 inch/5 watt secara seri.
  2. amplifier dapat dipasangi 4 buah box speaker yang impedansi masing-masing 32 ohm secara paralel. sehingga jika 4 box speaker dipasang paralel maka impedansinya adalah 8 ohm (32 ohm :4 = 8 ohm), pas dengan load impendansi amplifiernya yang 8 ohm juga.
  3. agar impedansi total box speaker menjadi 32 ohm, maka setiap box dipasang 4 buah speaker 8 ohm secara seri (4 X 8 ohm = 32 ohm). semua speaker adalah identik baik ukuran diameter, watt, dan impedansinya.
  4. Menurutku (hanya asumsi), untuk box speaker cukup menggunakan speaker kecil, misal 4 inch, tapi karena ada 4 buah maka akan sama tendangannya dengan speaker berdiameter besar layaknya 16 inch ( 4 inch X 4 = 16 inch).
  5. Dengan setiap box menggunakan 4 buah speaker berdaya 5 watt maka asumsinya total daya setiap box adalah 4 X 5 watt = 20 watt.
  6. Jika 4 box speaker yang masing-masing berdaya 20 dipasang semua, maka total daya speaker adalah 20 watt X 4 = 80 watt sehingga sama dengan daya amplifier (80 watt).
  7. Jika menggunakan amplifier 100 watt maka daya speaker dapat menggunakan yang lebih tinggi misal masing-masing speaker adalah 10 watt, sehingga total daya speaker sebesar 4 X 4 X 10 watt = 160 watt. Daya speaker adalah kemampuan maksimal speaker mendapat beban dari daya amplifier. Yang penting daya total speaker tidak KURANG dari daya amplifier !!!
  8. 4 buah speaker dalam satu box speaker tersebut hams dipasang seri dengan FASA YANG SAMA (tidak boleh berlawawan fasa). karena itu perhatikan kutub-kutub minus dan plusnya.speaker-dalam-satu-box-speaker-1226994
  9. Jika ada salah satu speaker yang mati (putus), maka hanya box speaker itu saja yang putus (tidak bunyi) sementara box speaker yang lain tetap normal. Kita dengan mudah mengidentifikasi kerusakan dan tak mempengaruhi box speaker yang lain. Ini karena setiap box speaker dipasang ke amplifier secara paralel.
  10. Dengan mengikuti aturan dan ketentuan impedansi serta daya, maka kita bisa menggunakan sistem dengan daya yang lebih besar lagi. Yang penting di sini adalah distribusi impedansi speaker total sama dengan load impedansi amplifiernya.

Jika kita menggunakan amplifier 200 watt dengan load impedansi 4 ohm maka sistem dapat dibangun dengan 4 buah speaker box yang masing-masing speaker box menggunakan 2 buah speaker berimpedansi 8 ohm berdaya 25 watt yang diseri. total impedansi masing-masing box speakernya menjadi 2 X 8 ohm = 16 ohm. sehingga impedansi total dari keempat box speaker adalah 16 ohm : 4 = 4 ohm, sama dengan load impedansi amplifiernya. Semantara total wattnya adalah 2 X 4 X 25 watt = 200 watt. Cobalah membuat rancangannya sendiri..!


Mungkin ada yang berkomentar, sistem di atas kan sama saja dengan memasang beberapa speaker yang ada di beberapa titik secara seri sedemikian rupa sehingga impedansinya tak melebihi beban impedansi amplifier ? Benar, tetapi sistem di atas akan lebih mudah dalam hal maintenance (lihat point 9 di atas). Lagi pula dengan sistem di atas maka keempat speaker sewaktu-waktu bisa dilepas tanpa mempengaruhi speaker yang lain dan amplifiernya. Sebab satu box speaker bisa dianggap sebagai satu speaker tersendiri yang berimpedansi 32 ohm/20 watt.


Baca Juga Artikel Yang Mungkin Berhubungan : Listrik Statis : Pengertian, Penerapan, Dan Proses Terjadinya Beserta Contohnya Secara Lengkap


Perbedaan impedansi dengan resistansi.

Secara umum, impedansi memiliki definisi perhitungan secara total dalam ohm dari seluruh rangkaian elektrikal untuk signal langsung, yang termasuk diantaranya resistansi, reaktansi, capasitansi dan seluruh factor mekanikal yang menimbulkan hambatan dari transfer energy dalam sebuah system.  Hal tersebut dapat diartikan kebanyakan driver dipastikan mempunyai nilai dasar nominal impedansi dalam resistansi DC voice coil serta pergerakan mekanikal.

Dalam hambatan telah terda[at  istilahnya sendiri yaitu: Hambatan = Resistensi (R) sedangkan Impedansi memiliki lambangkan Z. Namun keduanya memiliki ‘satuan’ yang sama yaitu OHM.

Impedansi ternyata bukan hanya semata-mata hambatan. Dia adalah gabungan dari hasil reaksi hambatan (R, resistensi) dan kapasitas elektron (C, capacitance). Maka, dalam bahasa di literatur elektronika Indonesia lama, impedansi ini pernah coba di-Indonesianisasi sebagai REAKTANSI. Mungkin hendak menunjukkan impedansi sebagai hasil reaksi hambatan dan kapasitansi secara bersamaan.

Ambil contoh speaker. bagaimana mengukur impedansi speaker? Dengan alat pengukur hambatan atau OHM-meter? Dijamin salah! Karena 8 ohm pada sebuah speaker tersebut bukanlah hambatan sebesar 8 ohm. Tetapi impedansi sebesar 8 ohm. Jadi satuannya sama, tapi merujuk kepada hal yang berbeda.


Impedansi bisa dilihat sebagai reaksi, dengan contoh jika menghubungkan sebuah pre amp ke amplifier. Sampai volume mentok, suaranya tetapi pelan, ini bisa terjadi karena suara tertahan (terhambat, R) akibat impedansi yang tidak sesuai. Bisa juga, akibat impedansi tidak sesuai, suara menjadi muddy atau mendem. Ini berarti lebih berhubungan ke persoalan frekuensi suara, dan frekuensi suara dekat sekali hubungannya dengan kapasitor dan kapasitansi.


Tapi dalam impedansi keduanya tidak pernah bekerja sendiri, selalu bersamaan. Suara yang pelan atau tertahan, akan diiringi dengan tone frekuensi yang aneh. Begitupun sebaliknya. Ini juga ada hubungannya dengan Low Impedance dan High Impedance, juga bisa dipahami dengan lebih mudah sebagai beban. Hal ini sering terjadi pada subwoofer dan amplifier. Jika dapat diilustrasikan seorang diititipkan Jeruk 4 kg untuk dibawa, Kuatkah? Tentu saja. Tetapi untuk seorang anak kecil yang hanya sanggup mengangkat 2 kg, itu pun ngos-ngosan, akan kesulitan membawa jeruk tersebut.

Contoh nyata seperti pada amplifier solid state, pada umumnya dirancang dapat menangani speaker dengan impedansi 4 – 8 ohm. Semakin kecil impedansinya, semakin besar daya amplifier yang dihasilkan, tapi tentunya dalam batasan impedansi minimal yang disarankan, Misalnya speaker yang mempunyai impedansi 4 ohm, jangan dipaksakan untuk meng-handle speaker yang diparalel menjadi 2 ohm. Speaker bawaan audio yang dirancang di bawah 8 ohm berfungsi untuk meningkatkan efisiensi amplifier agar mendapatkan hasil yang lebih besar.


Mengukur impedansi

Yang namanya Impedansi itu merupakan nilai resistansi yang tidak murni, berbeda dengan nilai resistansi suatu komponen Resistor. Nilai resistansi komponen Resistor itu bisa kita ukur dengan alat  multimeter jarum atau multimeter digital.  Tapi kalau nilai Impedansi tidak bisa di ukur dengan Multimeter.  Bisa dicoba dengan cara mengambil sebuah driver speaker yang nilai Impedansinya 8 ohm, ukur pakai multimeter (saklar selektor multimeter di set ke satuan ohm), pasti nilai yang terukur di multimeter tidak akan menunjukan nilai 8 ohm. Jadi Impedansi itu bukan suatu nilai resistansi / tahanan murni.


Mengukur Z speaker itu bisa dilakukan dengan rangkaian ukur yang melibatkan : Sine generator, baik audio generator, function generator, atau CD berisi rekaman gelombang sinus 1 Khz. Selanjutnya pengukuran bisa dilakukan dengan konsep voltage devider ( Lain waktu akan penulis sampaikan rangkaian pengukurannya).

Bisa juga dengan menggunakan alat ukur impedansi khusus, bisa berupa LCR meter, dengan frekuensi di set ke 1 KHz,  atau ala ukur portable yang memang khusus mengukur Impedansi.


Baca Juga Artikel Yang Mungkin Berhubungan : Energi Potensial – Pengertian, Jenis, Gravitasi, Listrik, Magnetik, Elastis, Contoh Soal


Reaktansi Kapasitif, Induktif dan Kombinasi

Reaktansi kapasitif

Sebuah kapasitor ialah sebuah perangkat yang dapat menyimpan muatan listrik, dan juga kemudian melepaskannya. Hal tersebut biasanya terdiri dari bahan non-konduktor, maupun isolator, terjepit diantara dua pelat logam. Sebagai bagian dari rangkaian tersebut, memungkinkan muatan untuk dapat tersimpan pada isolator dan juga efektif menyimpan energi dalam medan listrik. Dengan meningkatnya muatan, arus tersebut akan berkurang. Setelah waktu tertentu, kapasitor tidak akan mampu untuk menyerap muatan lebih dan juga arus akan turun menjadi nol, di mana pada titik itu akan dapat melepaskan, menghasilkan aliran elektron dalam arah yang berlawanan.


Tetapi m jika frekuensi AC tinggi, arus akan tetap mengubah arah dalam waktu kurang dari kapasitor yang diperlukan untuk dapat “mengisi.” disebabkan karena arus berada pada maksimum pada awal siklus, pasokan AC frekuensi tinggi akan hampir tidak terpengaruh oleh kapasitor. Sebaliknya, jika frekuensi rendah, hal tersebut akan memberikan waktu untuk dapat beberapa muatan dapat terkumpul dalam kapasitor, yang dapat menyebabkan penurunan arus sebelum siklus berikutnya. Kapasitor yang digunakan di banyak perangkat populer dan juga gadget, serta reaktansi kapasitif sehingga biasanya merupakan salah satu faktor penting dalam impedansi.


Reaktansi induktif

Induktansi ialah kecenderungan dari perubahan arus yang mengalir melalui kawat yang akan dapat melawan arus lawan di dekat konduktor. Hal tersebut terjadi karena arus listrik yang berubah dapat menghasilkan medan magnet yang berubah, yang pada gilirannya akan menyebabkan elektron mengalir dalam materi. Ketika kawat tersebut dililitkan ke koil, akan membentuk sebuah induktor, dan juga akan menghasilkan aliran elektron yang berlawanan, maupun gaya gerak listrik (ggl) dalam dirinya sendiri. Tegangan dari ggl yang diinduksi terus meningkat seiring dengan laju perubahan tegangan suplai, sehingga akan meningkatkan frekuensi AC akan dapat meningkatkan reaktansi induktif.


Kombinasi Kapasitor dan juga induktor

Ketika kedua perangkat ini yang terdapat dalam sirkuit, efek tersebut tidak hanya tergantung pada frekuensi AC, namun juga pada bagaimana mereka yang terhubung. Jika kapasitor dan juga induktor dihubungkan secara seri, arus awalnya akan meningkat dengan frekuensi, yang mencapai maksimum pada titik tertentu, yang dikenal ialah sebagai frekuensi resonansi, dan juga jatuh setelahnya. Jika mereka terhubung secara paralel, arus jatuh saat meningkatnya frekuensi tersebut sampai tercapai suatu titik di mana tidak mengalir. Di luar titik ini, aliran naik lagi.


DAFTAR PUSTAKA
Sustrisno.1986.Elektronika Teori Dasar dan Penerapannya. Bandung: ITB
(Diakses tanggal 10 Okrober 2017)
(diakses tanggal 10 Oktober 2017)
(diakses tanggal 10 oktober 2017)
Mungkin Dibawah Ini yang Kamu Cari

website Pelajaran SD SMP SMA dan Kuliah Terlengkap

Materi pelajaran terlengkap

mata pelajaran
jadwal mata pelajaran mata pelajaran sma jurusan ipa mata pelajaran sd mata pelajaran dalam bahasa jepang mata pelajaran kurikulum merdeka mata pelajaran dalam bahasa inggris mata pelajaran sma jurusan ips mata pelajaran sma
bahasa inggris mata pelajaran
bu ani memberikan tes ujian akhir mata pelajaran ipa
tujuan pemberian mata pelajaran pendidikan kewarganegaraan di sekolah adalah
dalam struktur kurikulum mata pelajaran mulok bersifat opsional. artinya mata pelajaran smp mata pelajaran ipa mata pelajaran bahasa indonesia mata pelajaran ips mata pelajaran bahasa inggris mata pelajaran sd kelas 1
data mengenai mata pelajaran favorit dikumpulkan melalui cara
soal semua mata pelajaran sd kelas 1 semester 2 mata pelajaran smk mata pelajaran kelas 1 sd mata pelajaran matematika mata pelajaran ujian sekolah sd 2022
bahasa arab mata pelajaran mata pelajaran jurusan ips mata pelajaran sd kelas 1 2021 mata pelajaran sbdp mata pelajaran kuliah mata pelajaran pkn
bahasa inggrisnya mata pelajaran mata pelajaran sma jurusan ipa kelas 10 mata pelajaran untuk span-ptkin mata pelajaran ppkn mata pelajaran ips sma mata pelajaran tik
nama nama mata pelajaran dalam bahasa inggris mata pelajaran pkn sd mata pelajaran mts mata pelajaran pjok
nama nama mata pelajaran dalam bahasa arab mata pelajaran bahasa inggrisnya mata pelajaran bahasa arab
seorang pengajar mata pelajaran akuntansi di sekolah berprofesi sebagai
nama mata pelajaran dalam bahasa jepang
hubungan bidang studi pendidikan kewarganegaraan dengan mata pelajaran lainnya
dalam struktur kurikulum mata pelajaran mulok bersifat opsional artinya mata pelajaran dalam bahasa arab
tujuan mata pelajaran seni rupa adalah agar siswa

You May Also Like

About the Author: Hack Adm

Tinggalkan Balasan

Alamat email Anda tidak akan dipublikasikan. Ruas yang wajib ditandai *