
Pengertian Hidrolisis
Hidrolisis adalah suatu reaksi kimia dimana H2O (molekul dari air) akan diurai/dipecah kedalam bentuk kation H+ (hidrogen) serta anion OH– (hidroksida) melalui sebuah proses kimiawi. Proses tersebut umumnya dipakai dalam memecah suatu polimer tertentu, khususnya polimer dimana terbuat melalui suatu proses bertahap polimerisasi atau yang dikenal dengan istilah step_growth_polimerization. Istilah hidrolisis sendiri berasal dari kata Yunani yakni hydro yang berarti air serta lysis dengan arti pemisahan.
Secara sederhana arti hidrolisis yaitu proses pembelahan ikatan kimia dengan penambahan air. Sebagai contoh yakni suatu proses sakarifikasi sukrosa. Sakarifikasi adalah suatu pemecahan karbohidrat menjadi komponen molekul gula melalui hidrolisis. Contohnya sukrosa dipecah menjadi fruktosa serta glukosa. Umumnya hidrolisisi maupun sakarifikasi adalah langkah dalam melakukan degradasi zat.
Reaksi kondensasi yaitu suatu reaksi kebalikan hidrolisis yang dimana dua molekul akan bergabung menjadi satu dengan mengeluarkan molekul air saat proses berlangsung. Sehingga suatu perbedaan hidrolisis dan kondensasi yaitu pada kondensasi dua jenis molekul akan menyatu dengan membuang air sedangkan hidrolisis menambahkan air guna memecah molekul yang menyatu. Biasanya hidrolisis yaitu suatu proses kimia dimana molekul air ditambahkan ke zat. Kadang-kadang penambahan ini mengakibatkan kedua substansi dan molekul air terpecah menjadi dua bagian. Dalam reaksi tersebut, satu fragmen dari molekul target (atau molekul induk) mendapat ion hidrogen.
Pencampuran larutan asam dengan larutan basa akan menghasilkan garam dan air. Namun demikian, garam dapat bersifat asam, basa maupun netral. Sifat garam bergantung pada jenis komponen asam dan basanya. Garam dapat terbentuk dari asam kuat dengan basa kuat, asam lemah dengan basa kuat, asam kuat dengan basa lemah, atau asam lemah dengan basa lemah. Jadi, sifat asam basa suatu garam dapat ditentukan dari kekuatan asam dan basa penyusunnya. Sifat keasaman atau kebasaan garam ini disebabkan oleh sebagian garam yang larut bereaksi dengan air. Proses larutnya sebagian garam bereaksi dengan air ini disebut hidrolisis (hidro yang berarti air dan lisis yang berarti peruraian).
Hidrolisis adalah reaksi kimia yang memecah molekul air (H2O) menjadi kation hidrogen (H+) dan anion hidroksida (OH–) melalui suatu proses kimia. Proses ini biasanya digunakan untuk memecah polimer tertentu, terutama yang dibuat melalui polimerisasi tumbuh bertahap (step-growth polimerization).
Hidrolosis berbeda dengan hidrasi. Pada hidrasi, molekul tidak terpecah menjadi dua senyawa baru. Hidrolisis merupakan reaksi penguraian garam oleh air atau reaksi ion-ion garam dengan air. Pada penguraian garam ini, dapat terjadi beberapa kemungkinan, yaitu :
- Ion garam bereaksi dengan air menghasilkan ion H
- Ion garam bereaksi dengan air menghasilkan ion H+, sehingga menyebabkan [H+] dalaMm air bertambah dan akibatnya [H+] > [OH-], maka larutan bersifat asam.
- Ion garam tersebut tidak bereaksi dengan air, sehingga [H+] dalam air akan tetap sama dengan [OH-], maka air akan tetap netral (pH = 7).
Ada dua macam hidrolisis, yaitu :
1.Hidrolisis parsial atau sebagian
Hidrolisis parsial ini dapat terjadi apabila garamnya berasal dari asam lemah dan basa kuat atau sebaliknya dan pada hidrolisis sebagian hanya salah satu ion saja yang yang mengalami reaksi hidrolisis, yang lainnya tidak.
Contoh : garam NH4Cl
Dalam air , NH4Cl terionisasi sempurna membentuk ion Cl” dan NH4+
2.Hidrolisis total
Hidrolisis ini dapat terjadi apabila garamnya berasal dari asam lemah dan basa lemah. Contoh : HF(aq) +
NH4OH(aq) ^ NH4F (aq) + H2O(l)
Garam yang terbentuk mengalami ionisasi sempurna dalam air
NH4F (aq) ^ NH4+(aq) + F (aq)
Baik kation maupun anion, sama-sama mengalami hidrolisis, sebab keduanya berasal dari spesi lemah. Reaksi yang terjadi adalah sebagai berikut :
NH4+(aq) + H2O(l) <—- > NH4OH(aq) + H+(aq)
F”(aq) + H2O(l) <—- > HF(aq) + OH”(aq)
hidrolisis kedua ion tersebut menghasilkan ion H+ maupun ion OH”. Dengan demikian, larutan garam tersebut mengalami hidrolisis total ( sempurna ).
Manfaat dan Fungsi Hidrolisis
Reaksi hidrolisis adalah suatu reaksi kimia yang dipakai untuk menetralkan suatu campuran asam dan basa yang menghasilkan air dan garam. Proses hidrolisis tersebut mempunyai andil yang besar dalam terlaksananya berbagai macam proses penting dan kebutuhan dalam kehidupan sehari-hari.
Berikut ini uraian lebih lanjut terkait beberapa pemanfaatan proses hidrolisis.
- Reaksi hidrolisis antara molekul asam dan basa yang direaksikan dengan air akan membentuk garam dengan rumus kimia NaCl. NaCl ini adalah garam yang dipakai di dapur ibu rumah tangga sebagai pemberi rasa asin dalam makanan.
- Dalam Bidang pertanian reaksi hidrolisis dimanfaatkan dalam suatu penyesuaian pH tanah dengan tanaman yang ditanam. Melalui suatu reaksi hidrolisis akan didapatkan jenis pupuk yang tidak terlalu asam maupun basa. Adapun molekul kimia yang sering dipakai untuk menurunkan pH pupuk yakni pelet padat (NH4)2SO4. Bila garam tersebut direaksikan dalam air, maka ion NH4+ akan terhidrolisis di dalam tanah membentuk NH3 dan H+ yang sifatnya asam.
- Reaksi hidrolisis antara garam yang terbentuk dari HOCl yang adalah asam lemah dengan NaOH yang merupakan basa kuat dengan air akan terjadinya hidrolisis HOCl sehingga akan menghasilkan ion OH- yang sifatnya basa. Sedangkan NaoH sebgai basa kuat tidak terhidrolisis. Garam yang terbentuk melalui penggabungan kedua asam basa terdebut yaitu NaOCl. Garam ini adalah salah satu material yang dimanfaatkan dalam pembuatan bayclin atau sunklin untuk memutihkan pakaian kita.
-
Reaksi hidrolisis mempunyai peran penting dalam pemecahan makanan menjadi nutrisi yang mudah diserap. Sebagian besar senyawa organik dalam makanan tidak mudah bereaksi dengan air, sehingga dibutuhkan katalis untuk memungkinkan keberlangsungan proses ini. Katalis organik yang membantu dengan reaksi dalam organisme hidup yang dikenal sebagai enzim. Enzim ini bekerja dengan menerapkan konsep hidrolisis.
-
Reaksi hidrolisis ini berperan penting dalam suatu proses pelapukan batuan. Proses ini penting dalam pembentukan tanah, dan membuat mineral penting tersedia bagi tanaman. Berbagai mineral silikat, seperti feldspar, mengalami suatu reaksi hidrolisis lambat dengan air, membentuk tanah liat dan lumpur, bersama dengan senyawa larut.
Jadi, bisa disimpulkan bahwa reaksi hidrolisis terjadi ketika beberapa senyawa ionik, seperti asam, basa, dan garam dilarutkan dalam molekul air dan bisa menghasilkan sifat yang bervariasi baik itu asam, basa, maupun netral. Perbedaan sifat ini menjadi tolok ukur dalam menganalisa peran penting garam yang terhidrolisis tersebut dalam kehidupan makhluk hidup.
Macam-Macam Hidrolisis
Jika ditinjau dari komponen pembentuk garam serta banyak tidaknya garam tersebut bisa diuraikan ketika direaksikan dengan air, maka reaksi hidrolisis bisa dibedakan sebagai berikut ini.
1. Hidrolisis parsial
Hidrolisis parsial yaitu ketika garam direaksikan dengan air hanya salah satu/sebagian ion saja yang mengalami suatu reaksi hidrolisis, sedangkan yang lainnya tidak. Komponen penyusun garam yang mengalami suatu reaksi hidrolisi parsial ini ialah asam lemah dan basa kuat atau sebaliknya.
2. Hidrolisis total
Hidrolisis total adalah suatu reaksi penguraian seluruh garam oleh air, yang mana komponen garam terdiri dari asam lemah dan basa lemah.
Berdasarkan jenis ion-ion yang dihasilkan ketika garam terlarut dalam air, proses hidrolisis bisa dibedakan menjadi beberapa macam berikut ini.
3. Hidrolisis Anion
jika garam yang terdiri dari komponen molekul asam lemah dan basa kuat direaksikan dengan molekul air, maka garam-garam ini hanya akan terhidrolisis sebagian/parsial didalam air dan akan menghasilkan ion yang bersifat basa (OH-). Dengan kata lain, yang terhidrolisis yaitu sedangkan anion dari asam lemah sedangkan kation dari basa kuat tidak terhidrolisis.
Contoh :
CH3COONa(aq) → CH3COO–(aq) + Na+ (aq)
CH3COO– + H2O ↔ CH3COOH + OH–
Na+ + H2O → tidak terjadi reaksi
Dari contoh diatas, menerangkan bahwa CH3COO– yang bertindak sebagai anion asam lemah terhidrolisis membentuk OH– ketika direaksikan dengan molekul air (H2O) sedangakn Na+ yang bertindak sebagai kation dari basa kuat tidak terhidrolisis ketika direkasikan dengan molekul air. Kesimpulannya garam dengan komponen pembentuk asam lemah dan basa kuat, bila direaksikan dengan air akan terhidrolisis sebagian dan menghasilkan ion yang bersifat basa.
4. Hidrolisis Kation
Serupa halnya dengan suatu reaksi hidrolisis antara garam dengan komponen molekul asam lemah dan basa kuat direaksikan dengan molekul air, bila garam dengan komponen penyusun asam kuat dan basa lemah dilarutkan ke dalam molekul air juga akan mengalami suatu hidrolisis parsial dan menghasilkan ion yang sifatnya asam (H+). Hal ini terjadi karena hanya kation dari basa lemah terhidrolisis, sedangkan anion dari asam kuat tidak mengalami suatu hidrolisis.
Contohnya :
NH4Cl → NH4+ + Cl–
NH4+ + H2O ↔ NH4OH + H+
Cl– + H2O → tidak terjadi reaksi
Berdasarkan contoh diatas, bisa disimpulkan bahwa NH4+ yang bertindak sebagai basa lemah terhidrolisis menghasilkan ion yang bersifat asam, yakni H+. Sedangkan Cl- yang sebagai anion asam kuat tidak terhidrolisis.
5. Kation dan Anion Terhidrolisis
Jika garam dengan komponen asam lemah dan basa lemah direaksikan dengan molekul air akan mengalami hidrolisis total. Hal tersebut bisa terjadi dikarenakan kation dari basa lemah maupun anion dari asam lemah bisa terhidrolisis secara sempurna. Reaksi hidrolisis ini menghasilkan ion H+ atau OH-.
Contoh ;
CH3COONH4 → CH3COO– + NH4+
CH3COO– + H2O ↔ CH3COOH + OH–
NH4+ + H2O ↔ NH4OH + H+
Contoh diatas, menerangkan bahwa kedua komponen penyusun garam CH3COO– (anion dari asam lemah) dan NH4+ (kation dari basa lemah) bisa terhidrolsis secara sempurna yang masing-masing berurutan menghasilkan ion yang sifatnya basa (OH–) dan ion yang bersifat asam (H+).
Perlu untuk diketahui, bahwasanya garam dengan komponen asam kuat dan basa kuat yang direaksikan dengan molekul air tidak akan mengalami suatu hidrolisis, dalam arti lain reaksi tersebut sifatnya netral. Peristiwa ini bisa terjadi ketika garam yang mengandung ion logam alkali atau ion logam alkali tanah (kecuali Be2+) dan basa konjugat suatu asamkuat (misalnya, Cl-, Br-, dan NO3-) direaksikan dengan molekul air akan menghasilkan larutan yang bersifat netral.”
Fungsi yang Mudah Mengalami Hidorlisis
a. Hidrolisis Ester
Banyak obat-obatan mengandung gugus ester. Gugus ini biasanya dibentuk dari asam karboksilat, karbomat, sulfomat dengan berbagai jenis alkohol. Gugus ini terhidrolisis melalui reaksi nukleofilik attack dari ion hidroksida di dalam air (Yoshioka, 2002).

Laju hidrolisis tergantung gugus-gugus pada R1 dan R2, dimana grup gugus akseptor-elektron akan meningkat laju hidrolisis sedangkan gugus donor-elektron akan menghambat laju hidrolisis. Penggantian atom hidrogen dengan halogen akseptor-elektron seperti Cl, juga meningkatkan laju dekomposisi. Faktor sterik juga berperan penting, gugus yang besar (bulky) baik pada R1 maupun R2 akan menurunkan laju dekomposisi. Sebagai contoh, substitusi gugus iso-propil dengan gugus n-propil pada R2 menurunkan laju dekomposisi lima kali lebih rendah (Yoshioka, 2002).
Serangan terhadap gugus ester juga dipengaruhi oleh adanya muatan pada atom C tetangga. Laju hidrolisis dari semua jenis ester yang berikatan dengan poli (butilen tartrat) tidaklah sama. Ikatan ester yang berdekatan dengan muatan negatif kurang reaktif untuk menyebabkan serangn ion hidroksida daripada gugus ester yang berjauhan dengan muatan negatif karboksilat (Yoshioka, 2002).
b. Hidrolisis Amida
Ikatan amida merupakan ikatan yang umum ditemukan dalam molekul obat. Ikatan amida kurang rentan mengalami hidrolisis dibanding ikatan ester karena karbon karbonil pada amida kurang elektrofilik (ikatan karbon dengan nitrogen dianggap sebagai ikatan ganda) dan gugus amin sebagai leaving group, merupakan leaving group lemah. Obat-obatan seperti paracetamol, kloramfenikol, linkomisin, indometacin, dan sulfacetamida semuanya dikenal menghasilkan amina dan asam melalui reaksi hidrolisis (Yoshioka, 2002).

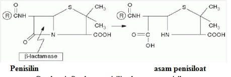
c. Hidrolisis β-Laktam
Antibiotik golongan laktam seperti penisilin dan sefalosporin, yang merupakan amida siklis atau laktam, mengalami pemecahan cincin siklik karena reaksi hidrolisis(Yoshioka, 2002).

Antibiotik β-Laktam termasuk penisilin dan safalosporin, mengalami reaksi hidrolisis yang cepat dibanding senyawa amida lainnya. Hal ini paling banyak disebabkan faktor elektronik, konformasi rantai cincin (cincin 4 inti bergabung dengan cincin 5/6 inti), dan karakter ikatan ganda yang lebih rendah diantara karbon pada karbonil dengannitrogen amida (Yoshioka, 2002).
Pemecahan cincin β-Laktam merupakan reaksi hidrolisis dengan katalis basa oleh air. Kemungkinan melibatkan reaksi elektrofilik pada gugus karbonil dan nukleofilik pada atom nitrogen pada cincin β-Laktam (Servais, 2001). Turunan asam karboksilat seperti amida diketahui rentan terhadap serangan bahan-bahan nukleofilik. Nukleofilik dan basa dapat bertindak sebagai salah satu katalis pemindahan hasil pada pecahnya cincin β-Laktam (Connor, 1992).
Faktor-Faktor yang Memperngaruhi Hidrolisis
Kecepatan reaksi hidrolisis dipengaruhi oleh faktor intrinsik seperti struktur molekuler, dan faktor lingkungan meliputi suhu (apabila suhu naik 10oC maka hidrolisis naik dua kali lipat), pH larutan (H+ dan OH– bersifat mengkatalis atau mempercepat putus rantai. pH kestabilan suatu obat adalah pada titik minimum saat log K minimum), jenis buffer, kekuatan ionik, cahaya, oksigen, kelembaban dan bahan tambahan (Yoshioka, 2002).
Cara Mencegah dan Solusi Hidrolisis
Cara Mencegah Hidrolisis
- Mengetahui pH dimana stabilitas maksimumnya
- Penggunaan larutan dapar pada konstanta seminimal mungkin
- Penyimpanan dilakukan pada temperatur kamar
- Menggunakan pelarut bahan air (Yoshioka, 2002).
Solusi Hidrolisis
- Formulasi obat pada pH stabilitas optimum
- Penambahan pelarut non air
- Mengontrol kadar air
- Obat dibuat dalam bentuk sediaan solid (padat) (Yoshioka, 2002).
Mekanisme Reaksi Hidrolisis
Reaksi Hidrolisis terjadi ketika suatu asam bertemu dengan basa yang akan menghasilkan garam dan air yang merubah pH dari campuran tersebut. Dalam reaksi hidrolisis, terjadi penarikan H+ dan OH– dari senyawa asam dan basa. H+ dan OH– berikatan menjadi air. Sedangkan pembentuk senyawa asam dan basa yang lain bersatu membentuk dari garam campuran asam basa tersebut. Garam tersebut dapat bersifat asam atau basa atau netral tergantung dari sifat-sifat para campurannya apakan asam kuat, asam lemah, basa kuat, basa lemah (Prayoga, 2009).
Contohnya ketengikan disebabkan oleh adanya perubahan yang terjadi dari reaksi dengan oksigen di udara sehingga disebut ketengikan oksidatif. Off flavour dihasilkan oleh reaksi hidrolisis yang dikatalis oleh enzim sehingga disebut ketengikan hidrolisis. Reaksi hidrolisis dan efek absorpsi dapat dikurangi dengan penyimpanan dingin, transportasi yang baik, pengemasan yang hati-hati dan sterilisasi sementara ketengikan oksidatif tidak dapat dikurangi dengan merendahkan temperatur ruang penyimpanan (Prayoga, 2009).
Pada reaksi hidrolisis akan dihasilkan gliserida dan asam lemak bebas dengan rantai pendek (C4 – C12). Akibat yang ditimbulkan dari reaksi ini adalah terjadinya perubahan bau dan rasa dari minyak atau lemak, yaitu timbulnya rasa tengik. Ketengikan hirdrolisis disebabkan oleh hidrolisis trigliserida, adanya uap air dan pembebasan asam lemak bebas. Dalam reaksi hidrolisis, lemak dan minyak akan diubah menjadi asam-asam lemak bebas dan gliserol. Reaksi hidrolisis mengakibatkan kerusakan lemak dan minyak. Ini terjadi karena terdapat terdapat sejumlah air dalam lemak dan minyak tersebut (Djatmiko dan Pandjiwidjaja, 1984).
Kerusakan lemak yang utama adalah timbulnya bau dan rasa tengik yang disebut proses ketengikan. Hal ini disebabkan oleh proses otooksidasi radikal asam lemak tidak jenuh dalam minyak. Otooksidasi dimulai dengan pembentukan faktor-faktor yang dapat mempercepat reaksi seperti cahaya, panas, peroksida lemak atau hidroperoksida, logam-logam berat, dan enzim- enzim lipoksidase (Prayoga, 2009).
Contoh Hidrolisi
Obat Yang Mengalami Hidrolisis
Antibiotika Penisilin (dan untuk ini sefalosporin) merupakan amida siklik yang mudah terhidrolisis. Ikatan amida yang normal lebih resisten terhadap hidrolisis dibandingkan dengan ester. Tetapi pada penisilin, amida tersiklisasi menjadi cincin β-Laktam dengan empat anggota. Sudut ikatan pada cincin ini mendekati 90o, berlawanan dengan amida rantai terbuka yang sudut ikatannya adalah 120o (karbon hibrid sp2). Sudut ikatan yang tidak lazim pada cincin β-Laktam ini menunjukkan cincin tersebut sangat mudah dibuka oleh nukleofil, terutama air (Cairns, 2004).
Efek penisilin dibentuk oleh geometri sistem cincin bisiklik terpadu. Cincin β-Laktam dan tiazolidin penisilin tidak berada pada bidang yang sama (sesungguhnya, kedua cincin ini hampir tegak lurus satu sama lain), sehingga mencegah efek resonansi pada amida siklik, yang menyebabkan atom karbon karbonil jauh lebih δ+ dari yang diperkirakan, sehingga lebih besar kemungkinan mengalami serangan nukleofilik. Struktur penisilin (ampisilin) dan hasil dekomposisinya, asam penisiloat Cairns, 2004).

Antibiotik penisilin dan sefaloporin tidak cukup stabil untuk disediakan dalam bentuk terlarut di dalam larutan berair. Kedua antibiotika tersebut tersedia dalam bentuk serbuk kering, yang direkonstitusi sesaat sebelum disalurkan oleh farmasis. Larutan (suspensi) yang disalurkan harus disimpan didalam lemari es dan dibuang setelah 7 hari. Produk cincin terbuka (asam penisiloat) tidak aktif sebagai antibiotika (Cairns, 2004).
Kloramfenikol mempunyai rumus kimia yang cukup sederhana yaitu 1-(p-nitrofenil)-2-dikloroasetamido-1,3-propandiol.

Antibiotik ini bersifat unik diantara senyawa alam karena adanya gugus nitrobenzen dan antibiotik ini merupakan turunan asam dikloroasetat. Bentuk yang aktif secara biologis yaitu bentuk levonya. Zat ini larut sedikit dalam air (1:400) dan relatif stabil. Kloramfenikol diinaktivasi oleh enzim yang ada dalam bakteri tertentu. Disini terjadi reduksi gugus nitro dan hidrolisis ikatan amida; juga terjadi asetilasi (Cairns, 2004).
Berbagai turunan kloramfenikol berhasil disintesis akan tetapi tidak ada senyawa yang khasiatnya melampaui khasiat kloramfenikol. Kloramfenikol adalah salah satu antibiotik yang secara kimiawi diketahui paling stabil dalam segala pemakaian. Kloramfenikol memiliki stabilitas yang sangat baik pada suhu kamar dan kisaran pH 2 sampai 7, stabilitas maksimumnya dicapai pada pH 6. Pada suhu 25oC dan pH 6, memiliki waktu paruh hampir 3 tahun. Yang menjadi penyebab utama terjadinya degradasi kloramfenikol dalam media air adalah pemecahan hidrolitik pada lingkaran amida. Laju reaksinya berlangsung di bawah orde pertama dan tidak tergantung pada kekuatan ionik media (Connors, 1992).
Berlangsungnya hidrolisis kloramfenikol terkatalisis asam umum atau basa umum, tetapi pada kisaran pH 2 sampai 7, laju reaksinya tidak tergantung pH. Spesies pengkatalisasi adalah asam umum atau basa umum yang terdapat pada larutan dapar yang digunakan; khususnya pada ion monohidrogen fosfat, asam asetat tidak terdisosiasi, serta ion asam monohidrogen dan dihidrogen sitrat dapat mengkatalisis proses degradasi. Di bawah pH 2, hidrolisis terkatalisis ion hidrogen spesifik memegang peranan besar pada terjadinya degradasi kloramfenikol. Obat ini sangat tidak stabil dalam suasana basa, dan reaksinya terlihat terkatalisis baik asam maupun basa spesifik (Connors, 1992).
Jalur utama degradasi kloramfenikol adalah hidrolisis ikatan amida, membentuk amida yang sesuai dan asam dikloroasetat (Connors, 1992).

Degradasi kloramfenikol lewat dehalogenasi tidak menjadi bagian yang berperan dalam gambaran degradasi total, setidaknya di bawah pH 7. (Connors, 1992). Laju degradasi tergantung secara linier pada konsentrasi dapar, spesies dapar beraksi sebagai asam umum dan basa umum. Laju hidrolisis kloramfenikol tidak tergantung kekuatan ionik, dan tidak terpengaruh oleh konsentrasi ion dihidrogen fosfat, dengan demikian aktivitas katalisisnya dianggap berasal dari aksi ion monohidrogen fosfat sebagai katalisis basa umum. (Connors, 1992).
Aspirin merupakan senyawa ester fenil yang tersubstitusi. Sebagaimana bentuk ester aromatik pada umumnya. Aspirin mempunyai gugus rawan yang sangat peka, dengan kata lain, aspirin relatif tidak stabil terhadap pengaruh hidrolisis dan proses pemindahan hasil yang lain, profil laju pH nya terkesan sebagai reaksi hidrolisis terhatifis asam spesifik dan basa spesifik. Ditambah bentuk kurva yang sigmoid sebagai hasil dari hidrolisis antar aspirin (Gisvold, wilson 1982).
Aspirin merupakan senyawa bersifat asam yang dapat disintetis dari asam salisilat yang diisolasikan dengan asetil klorida atau anhidrida asam asetat yang persamaan reaksi kimianya (Gisvold, wilson 1982).

website Pelajaran SD SMP SMA dan Kuliah Terlengkap
mata pelajaran
jadwal mata pelajaran mata pelajaran sma jurusan ipa mata pelajaran sd mata pelajaran dalam bahasa jepang mata pelajaran kurikulum merdeka mata pelajaran dalam bahasa inggris mata pelajaran sma jurusan ips mata pelajaran sma
bahasa inggris mata pelajaran
bu ani memberikan tes ujian akhir mata pelajaran ipa
tujuan pemberian mata pelajaran pendidikan kewarganegaraan di sekolah adalah
dalam struktur kurikulum mata pelajaran mulok bersifat opsional. artinya mata pelajaran smp mata pelajaran ipa mata pelajaran bahasa indonesia mata pelajaran ips mata pelajaran bahasa inggris mata pelajaran sd kelas 1
data mengenai mata pelajaran favorit dikumpulkan melalui cara
soal semua mata pelajaran sd kelas 1 semester 2 mata pelajaran smk mata pelajaran kelas 1 sd mata pelajaran matematika mata pelajaran ujian sekolah sd 2022
bahasa arab mata pelajaran mata pelajaran jurusan ips mata pelajaran sd kelas 1 2021 mata pelajaran sbdp mata pelajaran kuliah mata pelajaran pkn
bahasa inggrisnya mata pelajaran mata pelajaran sma jurusan ipa kelas 10 mata pelajaran untuk span-ptkin mata pelajaran ppkn mata pelajaran ips sma mata pelajaran tik
nama nama mata pelajaran dalam bahasa inggris mata pelajaran pkn sd mata pelajaran mts mata pelajaran pjok
nama nama mata pelajaran dalam bahasa arab mata pelajaran bahasa inggrisnya mata pelajaran bahasa arab
seorang pengajar mata pelajaran akuntansi di sekolah berprofesi sebagai
nama mata pelajaran dalam bahasa jepang
hubungan bidang studi pendidikan kewarganegaraan dengan mata pelajaran lainnya
dalam struktur kurikulum mata pelajaran mulok bersifat opsional artinya mata pelajaran dalam bahasa arab
tujuan mata pelajaran seni rupa adalah agar siswa