Pengertian Gum Xanthan, Manfaat, Fungsi, Sifat & Karakteristik

pengertian-gun-xanthan-6754715-8820190-jpg

Pengertian Gum Xanthan, Manfaat, Fungsi, Sifat dan Karakteristik Adalah polisakarida dengan bobot molekul tinggi hasil fermentasi karbohidrat oleh Xanthomonas campestris yang dimurnikan

pengertian-gun-xanthan-6215596


Baca Juga Artikel Yang Mungkin Berhubungan : Pengertian Dan Jenis-jenis Mikroba Endofit


Pengertian Biogum dan Gum Xanthan

Gum atau hidrokolid adalah polimer berantai panjang yang apabila larut atau  tedispersi dalam air memberikan kekentalan. Gum memiliki bobot molekul tinggi bersifat hidrofilik atau hidrofobik, biasanya bersifat koloid dan dalam bahan pengembang yang sesuai dapat berbentuk gel, larutan maupun suspense kental pada konsentrasi yang sangat rendah. Gum bukan merupakan koloid yang sebenarnya, tetapi lebih cocok disebut polimer yang berukuran koloid (10-1000Å) yang memperlihatkan sifat-sifat koloid dalam larutannya. Seperti adanya pengaruh grafitasi bumi dan tidak bisa diamati dengan mikroskop. Ada beberapa jenis hidrokoloid yang digunakan dalam industri pangan baik yang alami maupun sintetik


Gum Xanthan Istilah gum, hidrokoloid, getah ,koloid hidrofilik,  dan juga  polimer larut air ialah beberapa bahan yang memiliki kemampuan untuk mengentalkan dan juga membentuk cairan gel.

Pertama kali bahan tersebut tersebut diperoleh dari eksudat tanaman perdu, ekstrak pada tanaman ataupun alga laut, tepung dari biji-bijian, lendir dari proses fermentasi dan juga sumber alami lainnya. Kata ‘gum’ ialah berasal dari bahasa Mesir yang berarti kata “kami” yang ditunjukkan pada eksudat tanaman Acanthus


biogum-dan-gum-xanthan-1679213


Istilah gum, koloid hidrofilik, hidrokoloid, getah dan polimer larut air adalah beberapa bahan yang memiliki kemampuan mengentalkan dan membentuk cairan gel. Pertama kali bahan-bahan tersebut diperoleh dari eksudat tanaman perdu, ekstrak dari tanaman atau alga laut, tepung dari biji-bijian, lendir dari proses fermentasi dan sumber alami lainnya. Kata ‘gum’ berasal dari bahasa Mesir yaitu kata qemai atau kami yang ditunjukkan dari eksudat tanaman Acanthus (Pangestiningsih, 1998).

Gum xanthan adalah polisakarida dengan bobot molekul tinggi hasil fermentasi karbohidrat oleh Xanthomonas campestris yang dimurnikan,dikeringkan dan digiling untuk pemanfaatannya lebih lanjut .Bakteri Xanthomonas campestris secara alami hidup pada tanaman rutabaga (keluarga kubis).Gum Xanthan digunakan sebagai bahan tambahan yang aman pada makanan dalam industri makanan misal produksi susu, kuah salad, minuman buah-buahan, pengemulsi pada cat dan lapisan keramik, pengental dalam susu,syrup dan lem.


 Pada tingkatan yang lebih tinggi gum xanthan digunakan sebagai ”suspending agent ” yang baik sekali untuk menghilangkan pulp dan bahan-bahan yang dapat membuat keruh dalam beberapa minuman. Gum xanthan juga dipakai sebagai stabilizer untuk emulsi minyak flavor ( flavour oil emulsion)dalam beberapa minuman khusus. Konsentrasi gum xanthan yang dapatdigunakan dalam minuman berkisar antara 0,001% – 0,15% karena kestabilan terhadap panas yang khas dengan menggabungkan sifat penstabil emulsi dan suspending agent, maka gum xanthan sesungguhnya dapat digunakan dalam sistem pengalengan pangan .


Baca Juga Artikel Yang Mungkin Berhubungan : Biologi Molekul – Pengertian, Teknik, Ilmu, Sejarah, Ukuran, Rumus, Geometri


Gum Xanthan

Gum xanthan ialah sintesis biopolimer yang berasal dari bakteri Xanthomonas campestris . Gum xanthan tersebut  adalah  produk komersial yang dihasilkan dari suatu proses fermentasi secara aerob .Gum xanthan difungsikan ialah sebagai pengental, pengemulsi serta jugaperedam gesekan untuk masing-masing pada setiap makanan, farmasi dan juga industri minyak bumi.


Gum xanthan tersebut mempunyai tiga sifat unggul yaitu:

  1. mempunyai viskositas yang tinggi pada konsentrasi rendah;
  2. memiliki sifat peseudoplastik
  3. tidak peka terhadap temperatur, pH dan juga konsentrasi elektrolit

Ketiga sifat unggul tersebut akan menjadikan gum xanthan akan sangat berperan penting didalam industri makanan,farmasi, kertas, cat, kosmetik,  tekstil dan juga perekat. Selain itu , berperan dalam suatu industri minyak dan juga industri gas.


Gum xanthan adalah sintesis biopolimer berasal dari bakteri Xanthomonas campestris (Carignatto et al.,2011). Gum xanthan ini merupakan produk komersial yang dihasilkan dari proses fermentasi secara aerob (Garcia et al.,2000). Gum xanthan digunakan sebagai pengental, pengemulsi dan peredam gesekan untuk masing-masing makanan, farmasi dan industri minyak bumi (Carignatto et al.,2011) .

Gum xanthan memiliki tiga sifat unggul yaitu: (1) memiliki viskositas yang tinggi pada konsentrasi rendah; (2) bersifat peseudoplastik dan (3) tidak peka terhadap temperatur, pH dan konsentrasi elektrolit (Jeeva et al., 2011). Ketiga sifat unggul tersebut menjadikan gum xanthan sangat berperan penting dalam industri makanan, kosmetik, farmasi, kertas, cat, tekstil dan perekat. Selain itu juga berperan dalam industri minyak dan industri gas (Jeeva et al., 2011).


Baca Juga Artikel Yang Mungkin Berhubungan : Perbedaan Antara Senyawa Ionik Dan Senyawa Molekul


Sifat-sifat Gum Xanthan

sifat-khas-fisik-dari-gum-xanthan-4831061

  1. Kekentalan (viskositas)
    Gum xanthan mudah larut dalam air panas atau air dingin dengan hanya menggunakan pengadukan mekanis yang memberikan larutan dengan kekentalan tinggi pada konsentrasi rendah. Sifat inilah yang jarang dimiliki oleh beberapa jenis gum lainnya. Pada konsentrasi 1% memberikan kekentalan sekitar 100 Cps ketika diukur pada kecepatan pengadukan 60 rpm dengan menggunakan viscometer Broofield Model LVF pada suhu 25ºC (mc Neely dan Kang di dalam Whistler dan Miller, 1973)
  2. Kekenyalan (pseudoplastik)
    Larutan gum xanthan dalam air memiliki kekenyalan semu yang tinggi dan penurunan kekenyalan yang cepat diukur sebagai kenaikan laju ketegangan (shear). Ini merupan reaksi seketika dan proses bolak-balik. Larutan yang berisi 0,75 persen gum xanthan atau lebih mempunyai titik rheological yield, sehingga kekenyalan semu larutan gum dapat digambarkan sebagai aksi penurunan bolak-balik kekentalan dari larutan dengan peningkatan kecepatan rotasional.
    -Jeli adalah makanan berbentuk gel dengan tekstur kenyal. Pembentukan gel karena adanya bahan yang mampu larut menahan air dalam suatu matriks sehingga terjebak dalam struktur yang lembek dan kenyal.
    -Gel dari agarmemiliki sifat mudah patah, rapuh dan lebih keras.
    -Pati menghasilkan gel yang lebih kenyal, kuat dan elastis, namun cenderung liat dan sulit digigit.
    -Gelatin memiliki tekstur yang lebih lembut, elastis dan mudah digigit. Telah diteliti pengaruh gelatin, natrium karboksimetilselulosa dan agar terhadap bentuk dan tekstur es krim pada konsentrasi 0,3% b/v. Hasil penilaian organoleptik menurut American Dairy Science Association menunjukkan. bahwa natrium karboksimetilselulosa memberikan pengaruh yang lebih baik daripada gelatin dan sediaan tanpa pengental, tetapi tidak memberikan perbedaan yang berarti terhadap agar. Antara agar, gelatin dan sediaan tanpa pengental tidak terdapat perbedaan yang berarti. Tetapi semua formula termasuk kategori bagus.
  3. Pengaruh suhu pada kekentalan
    Satu sifat gum xanthan pada konsentrasi rendah hampir tidak dipengaruhi oleh perubahan PH antara 6 sampai 9 dan terlihat hanya sedikit berubah bila PH berada diluar selang 1 sampai 11. pada PH 9 atau lebih, gum xanthan secara berangsur-angsur terdeasetil, tetapi “deasetilasi” ini hanya berpengaruh sedikit pada larutan (Mc Neely dan Kang di dalam Whistler dan Be Miller, 1973)
  4. Kekompakan (compatibility)
    Gum xanthan memiliki kekompakan yang luar biasa terhadap beberapa garam yang berkonsentrasi tinggi, dan akan segera larut dalam konsentrasi sedang pada selang konsentrasi yang besar. Ketika garam tersebut akan segera melakukan penyesuaian. Sebagai contoh :penyesuaian terhadap 25% larutan ammonium sulfat, kalsium klorida, atau sengklorida dan 15 % larutan sodium klorida. Ada sedikit ketidak kompakan dimana garam kalsium pada PH lebih besar dari 10 akan mengendapkan gum xanthan (Mc Neely dan O’connel dalam Whistler dan Be Miller, 1973), dan garam amonium yang bersusun rantai panjang atau amin dengan lebih dari 8 atom karbon dalam dalam rantai utama, mungkin mengendapkan (Rogovin dan Albert di dalam Whistler dan Be Miller 1973)
  5. Kestabilan pada panas
    Gum xanthan sangat tahan terhadap proses degradasi oleh panas. Lama pemanasan pada suhu 80ºC kelihatannya sedikit memberikan pengaruh pada gum xanthan. Ketahanan terhadap proses degradasi oleh panas di dukung oleh adanya larutan garam. Sehingga larutan gum xanthan yang mengandung sedikit garam seperti potassium klorida dapat dipanaskan dengan menggunakan autoclave pada suhu 121ºC selama 15-30 menit dengan hanya sedikit perubahan kekentalan (Whistler dan Be Miller, 1973)
  6. Pengaruh enzim dan oksidan
    Enzim seperti protease, selulose, hemiselulose, pektinase dan amylase tidak akan mendegradasi gum xanthan dalam keadaan biasa dengan beberapa polimer, gum xanthan di degradasi dalam larutan bahan pengoksidan kuat seperti peroksida, pesulfat dan hipoklorit melalui tingkat yang lebih tinggi (Glicksman, 1980)

Baca Juga Artikel Yang Mungkin Berhubungan : Pengetian Dan Perbedaan Monosakarida Disakarida dan Polisakarida


Karakteristik Gum Xanthan

  • Larut dalam air dingin
  • Larutan dengan aliran yang sangat pseudoplastik. Pseudoplastik yaitu kemampuan mengubah viskositas nyata karena adanya laju geser. Jika laju geser meningkat, viskositas berkurang dan sebaliknya.
  • Viskositasnya sangat stabil pada berbagai pH dan temperatur
  • Polisakarida tahan terhadap degradasi enzimatik
  • Menunjukan interaksi yang sesuai dengan galactomannans guar gum, locust bean gum (LBG) dan glucomannan konjac mannan.
  • Pada konsentrasi tinggi wujud lunak, elastis, thermal reversible –> terbentuk dengan locust bean gum dan konjac mannan

Gum xanthan sudah diusahakan sejak tahun 1950, yang isolasi pertamanya dilaporkan oleh lily dkk. Pada waktu itu, “ Norther Utilization Division of the Departement of Agricultur” mulai meneliti koleksi kultur mikrobialnya, penemuan ini kemudian digunakan untuk menghasilkan senyawa biopolymer. Diantara sejumlah mikroba yang diperiksa, bakteri xanthomonas campestris (NRRL B-1459) telah menghasilkan produk-produk yang mempunyai nilai komersial yang cukup potensial. Kelco company pada tahun 1961 mengenalkan gum xanthan untuk diaplikasikan dalam bidang industri dan mulai di produksi secars komersial pada tahun 1964. Pada tahun 1969 “Food and Drug Administration” (FDA) mengizinkan untuk menggunakan gum xanthan dalam pengolahan pangan sebagai “Food Additive”. Sejak saat itu, gum xantahan diterima dengan dukungan luas oleh industri Karena sifat-sifatnya yang khas, antara lain kestabilan tekstur, daya tarik estetik dan beberapa kualitas yang diperlukan dalam pengolahan pangan (Petit dalam Glicksman, 1980)


Mikroorganisme yang paling banyak digunakan dalam pembuatan gum xanthan adalah Xanthomonas campestris, karena gum xanthan yang diproduksi dari Xanthomonas campestris telah menunjukkan karakteristik produk komersialnya (Jeans dkk, 1961 didalam Graham 1977). Xanthomonas campestris adalah bakteri yang terdapat secara alami, semula diisolasi dari tanaman kubis dan telah lama diketahui dapat menghasilkan kekentalan atau koloni yang bergetah (Breed dkk, 1957 di dalam Graham, 1977)


Xanthan gum berupa bubuk berwarna krem yang dengan cepat larut dalam air panas atau air dingin membentuk larutan kental yang tidak tiksotrofik. Xanthan gum pada konsentrasi rendah larutannya kental, pada perubahan suhu terjadi sedikit perubahan kekentalannya, mantap pada rentangan pH yang luas, mantap pada keadaan beku.  Xanthan gum dinyatakan aman digunakan dalam pangan sebagai pemantap, pengemulsi, pengental, dan pendorong buih pada pangan. Telah dilakukan pengembangan formulasi suspensi rifampisin yang mengandung 100 mg/5 ml, menggunakan serbuk kristal  –  rifampisin dengan rentang ukuran partikel 5 – 20 um. Zat pengental terbaik yang digunakan adalah agar 0,15% dan xanthan gum 0,2%. Hasil evaluasi stabilitas secara fisik menunjukkan  bahwa suspensi yang menggunakan xanthan gum lebih baik daripada suspensi dengan agar. Hasil uji ketersediaan hayati terbanding kedua suspensi terhadap suspensi yang beredar di pasaran adalah 84,0% untuk suspensi dengan xanthan gum dan 88,36% untuk suspensi dengan agar. Xanthan gum dapat membentuk larutan kental pada konsentrasi rendah (0,1% –  0,2%). Pada konsentrasi 2%  –  3% terbentuk gel. Xanthan gum dapat dicampur dengan protein atau polisakarida lain. Xanthan gum ini membentuk film yang liat dan lentur


Baca Juga Artikel Yang Mungkin Berhubungan : Pengertian Senyawa Polifenol pada Tanaman


Sifat Fisika-Kimia Gun Xanthan

Gum xanthan komersil berbentuk bubuk dan berwarna krem,mengandung air sekitar 11% dan setelah diabukan sekitar 9% dari residu xanthan tersebut merupakan residu anorganik. Gum xanthan memiliki viskositas yang cukup tinggi pada konsentrasi 1,0% dibandingkan dengan emulsifier atau stabilizer lainnya pada konsentrasi yang sama. Larutan xanthan 1,0% memberikan viskositas sekitar 800 – 1000 cP .

Larutan gum xanthan mempunyai kestabilan yang cukup baik terhadap pengaruh suhu, pH dan penambahan garam elektlorit atau enzim. Xanthan mempunyai viskositas yang sama pada kisaran pH yang cukup besar yaitu 1,5 – 13,0. Kestabilan gum xanthan  tidak dipengaruhi oleh perubahan suhu yang besar. Pada kisaran 10ᵒ – 70ᵒC viskositas gum xanthan yang pada awalnya sebesar 1000 cps akan terjadi penurunan tidak lebih dari 100 cps. Selain itu beberapa sifat gum xanthan yang menjadikannya memiliki nilai lebih antara lain:


  • Viskositas tinggi pada konsentrasi rendah
    Pada konsentrasi 1% memberikan kekentalan sekitar 100 Cps ketika diukur pada kecepatan pengadukan 60 rpm dengan menggunakan viscometer Broofield Model LVF pada suhu 25ᵒC.
  • Kekenyalan semu (pseudoplastik) tinggi
    Larutan gum xanthan dalam air memiliki kekenyalan semu yang tinggi dan penurunan kekenyalan yang cepat diukur sebagai kenaikan laju ketegangan (shear). Ini merupakan reaksi seketika dan proses bolak-balik. Larutan yang berisi 0,75 persen gum xanthan atau lebih mempunyai titik rheological yield, sehingga kekenyalan semu larutan gum dapat digambarkan sebagai aksi penurunan bolak-balik kekentalan dari larutan dengan peningkatan kecepatan rotasional.
  • Viskositas larutan gum xanthan stabil terhadap suhu
    Gum xanthan mudah larut dalam air panas atau air dingin dengan hanya menggunakan pengadukan mekanis yang memberikan larutan dengankekentalan tinggi pada konsentrasi rendah. Sifat inilah yang jarang dimilikioleh beberapa jenis gum lainnya.

  • Viskositas larutan gum xanthan stabil terhadap pH
    Satu sifat gum xanthan pada konsentrasi rendah hampir tidak dipengaruhi oleh perubahan PH antara 6 sampai 9 dan terlihat hanya sedikit berubah bilaPH berada diluar selang 1 sampai 11. pada PH 9 atau lebih, gum xanthan secara berangsur-angsur terdeasetil, tetapi “deasetilasi” ini hanya berpengaruhsedikit pada larutan.
  • Kesesuaian yang baik dengan berbagai garam
    Gum xanthan memiliki kekompakan yang luar biasa terhadap beberapa garam yang berkonsentrasi tinggi, dan akan segera larut dalam konsentrasi sedang pada selang konsentrasi yang besar. Ketika garam tersebut akan segera melakukan penyesuaian. Sebagai contoh : penyesuaian terhadap 25% larutan ammonium sulfat, kalsium klorida, atau sengklorida dan 15 % larutan sodium klorida. Ada sedikit ketidak kompakan dimana garam kalsium pada pH lebih besar dari 10 akan mengendapkan gum xanthan dan garam amonium yang bersusun rantai panjang atau amin dengan lebih dari 8 atom karbon dalam rantai utama, mungkin mengendapkan.

  • Kestabilan pada panas
    Gum xanthan sangat tahan terhadap proses degradasi oleh panas. Lama pemanasan pada suhu 80ᵒC kelihatannya sedikit memberikan pengaruh pada gum xanthan. Ketahanan terhadap proses degradasi oleh panas di dukung oleh adanya larutan garam. Sehingga larutan gum xanthan yang mengandung sedikit garam seperti potassium klorida dapat dipanaskan dengan menggunakan autoclave pada suhu 121ᵒC selama 15-30 menit dengan hanya sedikit perubahan kekentalan.
  • Kekompakan
    Kompatibel terhadap beberapa pelarut seperti methanol, ethanol,isopropanol dan aseton sampai konsentrasi 50-60 %. Konsentrasi pelarut > 60% akan menyebabkan gelatinisasi atau pengendapan gum xanthan.

  • Pengaruh Enzim dan oksidan
    Enzim seperti protease, selulose, hemiselulose, pektinase dan amylase tidak akan mendegradasi gum xanthan dalam keadaan biasa dengan beberapa polimer, gum xanthan di degradasi dalam larutan bahan pengoksidan kuat seperti peroksida, pesulfat dan hipoklorit melalui tingkat yang lebih tinggi.
  • Sinergisme
    Sinergi terhadap gum yang lain seperti gum guar, dan gum dari biji locust ( locust bean gum) serta galaktomanan. Ratio optimal gum xanthan dibanding locust bean gum adalah 1:1.

Baca Juga Artikel Yang Mungkin Berhubungan : 10 Pengertian Makhluk Hidup Menurut Para Ahli Terlengkap


Xanthomonas campestris

Scientific classification

Kingdom              : Bacteria
Phylum                 : Proteobacteria
Class                      : Gamma Proteobacteria
Order                    : Xanthomonadales
Family                   : Xanthomonadaceae
Genus                   : Xanthomonas

xanthomonas-campestris-3369099

Xanthomonas adalah genus dari keluarga Pseudomonaceae. Semua organisme dalam genus ini patogen bagi tanaman. Para pathovars Xanthomonas menginfeksi banyak  tanaman termasuk beberapa  tanaman pertanian, misalnya kol, alfalfa, dan kacang. Bakteri ini menyebabkan daun sayuran membusuk (yaitu warna hitam membusuk di kembang kol).


Sel  Xanthomonas berupa batang lurus tunggal,lebar  0,4 ± 0,7 mm dan panjang 0,7 ± 1,8 mm . Sel-sel yang motil, gram negatif, dan mereka memiliki flagel kutub tunggal
(1,7 ± 3 mm). Mikroorganismenya adalah chemiorganotrophic dan obligat aerob dengan tipe pernapasan dimana metabolisme yang membutuhkan oksigen sebagai terminal  elektron akseptor. Bakteri tidak dapat denitrify, dan itu adalah katalase-positif dan oxidasenegative.


Koloni ini biasanya berwarna kuning, halus, dan lengket. Xanthomonas  sp. mampu mengoksidasi glukosa dan jalur Entner-Doudoroff terutama digunakan untuk katabolisme glukosa (jalur fosfat pentosa juga terjadi tetapi hanya menggunakan 8 ± 16% dari total glukosa yang dikonsumsi), baik asam trikarboksilat dan siklus glioksilat yang hadir.

Struktur sel mirip dengan yang dari sel Gram-negatif pada umumnya.  Pigmen kuning  ada  di semua spesies Xanthomonas, tetapi warna kuning ini mungkin akan tidak akan ada  ketika degradasi strain terjadi. X.campestris adalah mikroorganisme yang paling umum digunakan pada industri   xanthan. X. campestris tumbuh pada media laboratorium standar dan beberapa variasi shear  telah diamati baik dalam continue batch dan batch culture .


Baca Juga Artikel Yang Mungkin Berhubungan : Jaringan Epitel


Biosintesis Gum Xanthan

Proses biosintesis gum xanthan dapat dijelaskan sebagai berikut : Substrat akan berdifusi dan masuk kedalam sel dan terjadi perisitiwa fosporilasi. Substrat akan digunakan untuk proses katabolik sebagai penghasil energi dan proses anabolik. Selanjutnya, substrat yang terfosporilasi akan dikonversi menjadi gula-gula nukleotida (dengan pertolongan enzim UDP-glukosa)fosporilase. Nukleotida-nulkleotida inilah yang menjadi pemacu atau precursor pembentukan polimer. Penelitian in-vitro pada pembentukan gum xanthan oleh Xanthomonas campestris memperlihatkan bahwa UDP-glukosa, GDP-manosa,dan UDP-asam glukoronat memberikan sebagian gula kepada akseptor lemak untuk pembentukan pentasakrida-p-p lipid. Tahap selanjutnya adalah pembentukan residu piruvat dan asetat melalui transfer dari fosfoenol-piruvat kepada pentasakarida-p-p-lipid. Tahap ini merupakan tahap yang kritis,kegagalan tahap ini menyebabkan polimer tidak mempunyai residu piruvat.

biosintesis-gum-xanthan-8994954


Baca Juga Artikel Yang Mungkin Berhubungan : √ Pengertian Dan Ciri Zat Padat, Gas, Cair Beserta Contohnya


Pembuatan Gun Xanthan

BAHAN BAKU UNTUK PEMBUATAN GUM XANTHAN

Untuk menghasilkan gum xanthan, X. campestris membutuhkan beberapa nutrisi, termasuk zat gizi mikro (misalnya kalium, besi, dan garam kalsium) dan makronutrients seperti karbon dan nitrogen. D-glukosa, sukrosa dan beberapa bentuk karbohidrat yang dapat digunakan sebagai bahan baku substrat dan tergantung dari tingkat hasil yang diinginkan. Konsentrasi sumber karbon mempengaruhi hasil xanthan; konsentrasi 2 ± 4% lebih disukai. Konsentrasi substrat yang tinggi akan menghambat pertumbuhan. Beberapa bahan dasar yang mungkin dapat digunakan yang berasal dari limbah pengolahan hasil pertanian adalah molase, onggok, pulp kopi dan coklat.


 Glukosa merupakan bahan baku dalam fermentasi gum xanthan oleh bakteri Xanthomonas campestris. Kadar glukosa dan konsentrasi kultur bakteri Xanthomonas campestris merupakan 2 faktor yang berpengaruh terhadap gum xanthan yang dihasilkan. Untuk memfermentasi bahan baku tersebut agar menghasilkan gum xanthan maka diperlukan bakteri Xanthomonas campestris. Bakteri Xanthomonas campestris dapat diisolasi dari berbagai varietas tanaman kubis yang banyak terdapat di Indonesia. Bakteri Xanthomonas campestris diperbanyak pada media tabung agar miring NA sebagai stok inokulum (media cair dicampur bahan makanannya atau nutrisi) sedangkan untuk memperbanyak dan menumbuhkan bakteri dilakukan dengan cara 1-2 ose bakteri dari media NA ditumbuhkan dalam 60 ml media cair Nutrient Broth.


Nitrogen, nutrisi esensial, dapat diberikan baik sebagai senyawa organik dan atau sebagai molekul anorganik. Protein dan nitrogen inorganik adalah sumber nutrien tambahan yang sangat penting untuk efisiensi produksi gum xanthan, fosfat dan magnesium juga dibutuhkan serta mineral. Penelitian lebih lanjut menunjukkan bahwa ketika karbon dan fosfor membatasi nutrisi xanthan gum, produksinya justru meningkat. Sumber karbon yang terbaik yang ditampilkan untuk gula (glukosa dan sukrosa) dan sumber nitrogen terbaik adalah glutamat pada konsentrasi 15 mM (konsentrasi yang lebih tinggi menghambat pertumbuhan).


Baca Juga Artikel Yang Mungkin Berhubungan : “Nukleus ( Inti Sel )” Definisi & ( Struktur – Fungsi )


Produksi Gun Xanthan

Pada skala komersial, gum xanthan diproduksi melalui fermentasi aerobik dengan menggunakan isopropil alkohol. Kemudian dilanjutkan dengan pengeringan dan penggilingan. Kondisi optimal dalam proses produksi gum memerlukan aerasi tinggi dan suhu konstan. Oleh karena itu hasil fermentasi dengan cara tersebut jauh lebih banyak dibandingkan produksi secara alami pada tanaman kubis. Kultur Xanthomonas campestris murni, setelah diberikan inokulum(media cair dicampurkan dengan nutriennya) untuk built up. Kemudian ditumbuhkan pada tempat pembiakan dan kemudian digunakan fermentor untuk melakukan pembiakan selanjutnya. Media yang sama terdiri dari karbohidrat dan beberapa nutrien lain.


Nutrien tambahan yang dibutuhkan oleh mikroorganisme adalah ion ammonium, buffer fosfat, ion magnesium dan sedikit unsur lain. Penurunan pH broth (kaldu) selama fermentasi terjadi karena pembentukan asam organik sebagai produk tambahan dan sebagai bahan dari molekul polisakarida. Jika pH turun dibawah titik kritis kira-kira 5, maka produksi gum akan turun dengan signifikan atau berhenti sama sekali.


Oleh karena itu dalam setiap fermentasi beberapa jenis bakteri memerlukan penambahan bahan alkali yang sangat penting untuk mempertahankan pH pada selang 6 sampai 7,5 dan suhu fermentasi yang sesuai sekitar 28ᵒC sedangkan glukosa, sukrosa dan pati semuanya diperkiraan ekuivalen dengan efisiensi produksi polisakarida. Pada saat proses akan berakhir, broth fermentasi perlu di pasteurifikasikan pada suhu yang mendekati titik didih, gum xanthan diperoleh kembali melalui pengendapan dengan isopropil alkohol. Polisakarida yang diperoleh kembali melalui pengendapan dengan isopropil alkohol. Polisakarida yang diperoleh dikeringkan dan digiling menurut penyebaran ukuran partikel. Kemudian dikemas dan siap dipasarkan.


Kondisi Operasional Yang Dibutuhkan

  • Inocullum Build-up
    Proses terbentuknya inokulum bertujuan untuk meningkatkan konsentrasi sel tetapi meminimalkan produksi gum xanthan karena disekitar sel menghambat transportasi massa nutrisi dan memperpanjang fase lag dari pertumbuhan. Mikroorganisme tersebut dipindahkan dari medium padat kultur kompleks (biasanya YM agar-agar) untuk volume kecil (5 atau 7 mL) dari medium cair kompleks (biasanya YM), tetapi inkubasi hanya terbatas sampai 7 jam untuk mencegah produksi yang signifikan dari xanthan. Volume inokulum untuk fermentor produksi adalah antara 5 dan 10% dari volume kaldu total dalam bejana.
  • Suhu
    Suhu yang digunakan untuk kisaran produksi xantan adalah 25-34 ° C, tetapi keberadaan kultur pada suhu 28 ° C dan 30 ° C adalah cukup umum. Peneliti Cadmus dkk menyimpulkan bahwa kenaikan temperatur kultur akan meningkatkan produksi xanthan tetapi menurunkan konten piruvatnya. Untuk mendapatkan hasil xanthan tinggi, suhu antara 31 dan 33 ° C dianjurkan, tapi kultur pada suhu 27 ± 31 ° C akan lebih baik pada pencapaian kandungan piruvat yang tinggi dalam gum. Selain itu, optimal suhu untuk produksi xanthan tergantung pada media produksi yang digunakan.

  • pH
    Sebagian besar penulis setuju bahwa pH netral adalah nilai optimum untuk pertumbuhan X. campestris. Selama produksi xanthan, pH menurun dari pH netral terhadap nilai-nilai hampir 5 karena gugus asam hadir dalam xanthan. Beberapa penulis berpendapat bahwa kontrol pH tidak diperlukan untuk proses ini tetapi yang lain merekomendasikan kontrol pada pH netral menggunakan alkali seperti KOH, NaOH, dan NH4OH .Sebuah studi tentang pengaruh pH menunjukkan bahwa kontrol pH tidak meningkatkan sel pertumbuhan, tetapi tidak berpengaruh pada xanthan produksi. Ketika pH dikendalikan, produksi xanthan berhenti setelah fase pertumbuhan stasioner dicapai dan ini efek independen dari alkali digunakan untuk mengontrol pH. Bila pH tidak terkontrol, gusi produksi terus selama fase stasioner pertumbuhan

  • Tranfer Massa
    Berbagai jenis bioreaktor telah digunakan untuk memproduksi gum xanthan , tetapi tangki berpengaduk sparged digunakan paling sering. Dalam reaktor berpengaduk, tingkat laju massa oksigen transfer dipengaruhi oleh laju aliran udara dan kecepatan pengaduk. Ketika reaktor berpengaduk digunakan, laju alir udara umumnya dipertahankan pada nilai konstan, biasanya 1 L / L min. Sebaliknya, kecepatan pengadukan yang digunakan bervariasi pada rentang yang luas.

kondisi-operasional-yang-dibutuhkan-9209822


Langkah – langkah utama proses produksi xanthan dirangkum pada tabel di bawah ini :

proses-produksi-xanthan-2319915


Penggunaan Gum Xanthan

Aplikasi  utama industri gum xanthan :

aplikasi-utama-industri-gum-xanthan-5800964


Salah satu sifat yang paling luar biasa xanthan gum adalah kemampuannya untuk menghasilkan peningkatan dalam viskositas cairan dengan menambahkan jumlah yang sangat kecil gum. Dalam kebanyakan makanan, xanthan digunakan sebesar 0,5%, dan dapat digunakan dalam konsentrasi yang lebih rendah. Viskositas larutan gum xanthan menurun dengan tingkat pseudoplasticity yang tinggi. Gum xanthan  memiliki sifat pseudoplasticity yang berarti bahwa suatu produk dapat ditarik atau direnggangkan, akibat dari  pencampuran, pengadukan atau bahkan pengunyahan, sehingga produk akan tampak menipis. Tetapi setelah gaya tarik dilepaskan, produk akan menebal kembali (kembali normal). Penggunaan praktis  xanthan  berada di salad dressing: gum xanthan membuatnya cukup tebal saat dikemas di dalam botol untuk menjaga campurannya homogen, namun shear forces yang dihasilkan oleh pengocokan dan penuangan akan menipiskan itu, sehingga dapat dengan mudah dituangkan. Ketika keluar botol, shear forces akan hilang dan mengental kembali, sehingga menempel di salad.


Dalam makanan, gum xanthan yang paling sering ditemukan pada salad dressing dan saus. Ini membantu untuk mencegah pemisahan minyak dengan menstabilkan emulsi , meskipun bukan merupakan pengemulsi . Gum xanthan juga membantu memperkuat partikel padat, seperti rempah-rempah. Penggunaan juga pada makanan dan minuman beku, gum xanthan membantu menciptakan tekstur lembut di es krim pada umumnya, bersama dengan guar gum dan locust bean gum. Pasta gigi sering berisi gum xanthan, di mana ia berfungsi sebagai pengikat untuk menjaga produk homogen. Gum xanthan  (bila terkadang tidak dibuat dari gandum) juga digunakan dalam pengembang bebas gluten. Sejak gluten yang  ditemukan dalam gandum harus dihilangkan, gum xanthan  digunakan untuk memberikan campuran atau adonan “lengket” yang seharusnya dapat dicapai dengan menggunakan gluten.


Dalam industri minyak , gum xanthan digunakan dalam jumlah besar, biasanya untuk mengentalkan lumpur pengeboran . Cairan ini berfungsi untuk membawa potongan padatan akibat pengeboran kembali ke permukaan. Gum xanthan menghasilkan  “low end” reologi yang bagus. Ketika sirkulasi berhenti, padatan masih tetap tersuspensi dalam cairan pengeboran. Meluasnya penggunaan pengeboran horizontal dan permintaan untuk kontrol padatan yang dibor telah menyebabkan penggunaannya diperluas.


Pada Industri Petroleum,gum xanthan di gunakan sebagai sebagai cairan pelicin dalam pengeboran sumur minyak, sebagai cairan untuk mengikat dan memisahkan garam-garam dari hasil pengeboran minyak lepas pantai dari cairan petroleum yang diinginkan, sebagai cairan pemecah ( fracturing fluid ) berbasis air dan untuk mempercepat pengambilan minyak ( oil recovery).


Dalam kosmetik, gum xanthan digunakan untuk mempersiapkan gel air, biasanya berhubungan dengan bentonite clays.Gum ini juga digunakan dalam emulsi minyak dalam air  untuk membantu menstabilkan tetesan minyak terhadap koalesensi . Gum xanthan adalah bahan yang umum dalam fake blood recipes, dan dalam gunge / lendir. Fungsi lainnya sebagai stabilizer emulsi cream untuk obat dan kosmetika, pelarut cream dan lotion serta pensuspensi pasta gigi atau larutan pencuci gigi. Selain itu dalam industri kimia, gum xanthan juga digunakan sebagai sebagai cairan pelengkap pakan(Liquid  feed supplements ), Flowable pesticides, pewarnaan dan pengecatan tekstil,pelapis keramik, pembersih serta pensuspensi cairan tinta, cat dan perekat kertas.


Ciri-ciri dan keuntungan gum xanthan sebagai zat tambahan:

  1. Tidak mempengaruhi warna pada bahan yang ditambahkan walaupun dalam konsentrasi tinggi
  2. Larut dalam air panas dan air dingin
  3. Menaikkan viskositas larutan, Pada range suhu yang besar, viskositas larutan ber-xanthan gum tetap

Ciri dan Manfaat Gum Xanthan

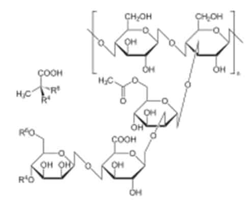
Rumus molekul gum xanthan adalah C35H49O29 . Gum xanthan merupakan rangkaian polisakarida yang tersusun atas rantai panjang tiga macam gula sederhana (heteropolimer).


Ciri-ciri dan keuntungan gum xanthan sebagai zat tambahan:

  1. Tidak mempengaruhi warna pada bahan yang ditambahkan walaupun
    dalam konsentrasi tinggi
  2. Larut dalam air panas dan air dingin
  3. Menaikkan viskositas larutan Pada range suhu yang besar, viskositas
    larutan ber-xanthan gum tetap.
  4. Terlarut dan stabil pada kondisi asam dan basa
  5. Stabil dan sesuai untuk larutan dengan kadar garam tinggi
  6. Tidak mudah terdegradasi oleh enzim
  7. Memiliki sifat membasahi yang baik
  8. Menjaga kestabilan makanan baik dalam kondisi membeku/mencair
  9. Agen penstabil emulsi yang efektif.

Biogum Dihasilkan Mikroba

Sel mikroba yang mampu untuk menghasilkan polisakarida dapat dibagi menjadi 3( tiga ) tipe yaitu

  1. polisakarida ekstraseluler,
  2. polisakarida  struktural,
  3. polisakarida  intraseluler.

Polisakarida estraseluler ialah bentuk penimbunan mikroba pada kondisi sekitarnya, sedangkan polisakarida struktural ialah salah satu komponen dari struktural sel dan juga Polisakarida intraseluler, yang berguna sebagai energi cadangan untuk sel


Sel mikroba yang mampu menghasilkan polisakarida dapat dibagi menjadi tiga tipe yaitu polisakarida ekstraseluler, struktural, dan intraseluler. Polisakarida estraseluler merupakan bentuk penimbunan mikroba terhadap kondisi sekitarnya, sedangkan polisakarida struktural merupakan salah satu komponen struktural sel dan Polisakarida intraseluler, yang berfungsi sebagai energi cadangan untuk sel (Hardjanto, 1999).


Polisakarida ekstraseluler dikenal sebagai biogum yang dapat diklasifikasikan dalam dua bentuk yaitu kapsul dan komponen lendir. Kapsul yang menyatu dengan dinding sel ini dapat dibuktikan secara strukturalnya berupa mikrokapsul, sedangkan komponen lendir yang terpisah, tertimbun dalam jumlah yang besar diluar sel, kemudian didifusi ke dalam media kultur. Selama pertumbuhan, biogum ekstraseluler berperan dalam pembentukan tekstur kenyal pada koloni bakteri pada medium padat atau menyebabkan peningkatan kekentalan pada media cair (Pangestiningsih, 1998).

Biogum ekstraseluler yang diproduksi oleh sel mikroba akan disekresikan mengelilingi sel dan berfungsi untuk melindungi mikroba dari dehidrasi, fagositosis, dan partikel-partikel asing lainnya di sekitar mikroba sehingga mikroba dapat bertahan pada berbagai perubahan kondisi lingkungan. Oleh karena fungsinya sebagai pelindung sel mikroba maka biogum bersifat stabil dan hidrofilik (Hardjanto, 1999).

Mungkin Dibawah Ini yang Kamu Cari

website Pelajaran SD SMP SMA dan Kuliah Terlengkap

Materi pelajaran terlengkap

mata pelajaran
jadwal mata pelajaran mata pelajaran sma jurusan ipa mata pelajaran sd mata pelajaran dalam bahasa jepang mata pelajaran kurikulum merdeka mata pelajaran dalam bahasa inggris mata pelajaran sma jurusan ips mata pelajaran sma
bahasa inggris mata pelajaran
bu ani memberikan tes ujian akhir mata pelajaran ipa
tujuan pemberian mata pelajaran pendidikan kewarganegaraan di sekolah adalah
dalam struktur kurikulum mata pelajaran mulok bersifat opsional. artinya mata pelajaran smp mata pelajaran ipa mata pelajaran bahasa indonesia mata pelajaran ips mata pelajaran bahasa inggris mata pelajaran sd kelas 1
data mengenai mata pelajaran favorit dikumpulkan melalui cara
soal semua mata pelajaran sd kelas 1 semester 2 mata pelajaran smk mata pelajaran kelas 1 sd mata pelajaran matematika mata pelajaran ujian sekolah sd 2022
bahasa arab mata pelajaran mata pelajaran jurusan ips mata pelajaran sd kelas 1 2021 mata pelajaran sbdp mata pelajaran kuliah mata pelajaran pkn
bahasa inggrisnya mata pelajaran mata pelajaran sma jurusan ipa kelas 10 mata pelajaran untuk span-ptkin mata pelajaran ppkn mata pelajaran ips sma mata pelajaran tik
nama nama mata pelajaran dalam bahasa inggris mata pelajaran pkn sd mata pelajaran mts mata pelajaran pjok
nama nama mata pelajaran dalam bahasa arab mata pelajaran bahasa inggrisnya mata pelajaran bahasa arab
seorang pengajar mata pelajaran akuntansi di sekolah berprofesi sebagai
nama mata pelajaran dalam bahasa jepang
hubungan bidang studi pendidikan kewarganegaraan dengan mata pelajaran lainnya
dalam struktur kurikulum mata pelajaran mulok bersifat opsional artinya mata pelajaran dalam bahasa arab
tujuan mata pelajaran seni rupa adalah agar siswa

You May Also Like

About the Author: Hack Adm

Tinggalkan Balasan

Alamat email Anda tidak akan dipublikasikan. Ruas yang wajib ditandai *