Pengertian Gerak Parabola, Jenis, Ciri, Rumus dan Contoh Soal : adalah gerak yang membentuk sudut tertentu terhadap bidang horizontal. Pada gerak parabola, gesekannya diabaikan, dan gaya yang bekerja padanya hanyalah gaya berat atau percepatan gravitasinya saja.
Baca Juga Artikel Yang Mungkin Berhubungan : Gerak Vertikal : Pengertian, Macam, Ciri, Dan Rumus Beserta Contoh Soalnya Secara Lengkap
Pengertian Gerak Parabola
Gerak Parabola (Perpaduan GLB dan GLBB) Gerak parabola adalah gerak yang membentuk sudut tertentu terhadap bidang horizontal. Pada gerak parabola, gesekannya diabaikan, dan gaya yang bekerja padanya hanyalah gaya berat atau percepatan gravitasinya saja.
Gerak yang lintasannya berbentuk parabola disebut gerak parabola. Contoh umum gerak parabola adalah gerak benda yang dilemparkan ke atas membentuk sudut tertentu terhadap permukaan tanah. Gerak parabola dapat dipandang dalam dua arah, yaitu arah vertikal (sumbu-y) yang merupakan gerak lurus berubah beraturan (GLBB),dengan arah horizontal (sumbu-x) yang merupakan gerak lurus beraturan (GLB).Siapa saja waktu SMA pernah belajar fisika kinematika, tentu masih ingat tentang Gerak Parabola. Biasanya yang paling sering ditanya dalam ujian adalah jarak dan tinggi maksimum dari benda yang dilempar. Namun bagaimana jika yang ditanya adalah panjang lintasan maksimum yang dilalui benda?
Untuk menjawab pertanyaan tersebut maka penulis menulisnya dalam makalah sederhana. Berikut adalah kutipan dari artikel yang saya dapat dari internet.Dalam analisis gerak parabola sering diperhitungkan bagaimana cara untuk mendapatkan jarak maksimum. Perumusannya yaitu dengan mengatur arah kecepatan dengan sudut terhadap sumbu hori zontal.
Gerak Parabola/Gerak peluru merupakan suatu jenis gerakan benda yang pada awalnya diberi kecepatan awal lalu menempuh lintasan yang arahnya sepenuhnya dipengaruhi oleh gravitasi.
Karena gerak peluru termasuk dalam pokok bahasan kinematika (ilmu fisika yang membahas tentang gerak benda tanpa mempersoalkan penyebabnya), maka pada pembahasan ini, Gaya sebagai penyebab gerakan benda diabaikan, demikian juga gaya gesekan udara yang menghambat gerak benda. Kita hanya meninjau gerakan benda tersebut setelah diberikan kecepatan awal dan bergerak dalam lintasan melengkung di mana hanya terdapat pengaruh gravitasi.
Mengapa dikatakan gerak peluru ? kata peluru yang dimaksudkan di sini hanya istilah, bukan peluru pistol, senapan atau senjata lainnya. Dinamakan gerak peluru karena mungkin jenis gerakan ini mirip gerakan peluru yang ditembakkan.
Baca Juga Artikel Yang Mungkin Berhubungan : Gerak Parabola : Pengertian, Jenis, Dan Rumus Beserta Contoh Soalnya Secara Lengkap
Gerak Parabola Secara Sistematis
Pada pokok bahasan Gerak Lurus, baik GLB dan GLBB kita telah membahas gerak benda dalam satu dimensi, ditinjau dari perpindahan, kecepatan dan percepatan. Kali ini kita mempelajari gerak dua dimensi di dekat permukaan bumi yang sering kita jumpai dalam kehidupan sehari-hari.
Pernakah anda menonton pertandingan sepak bola? walaupun hanya melalui Televisi. Gerakan bola yang ditendang oleh para pemain sepak bola kadang berbentuk melengkung. Mengapa bola bergerak dengan cara demikian ?
Selain gerakan sepak,bola banyak sekali contoh gerakan parabola yang kita jumpai dalam kehidupan sehari-hari. Diantaranya adalah gerak bola volly, gerakan bola basket, bola tenis, bom yang dijatuhkan serupa dengan gerak parabola.untuk contoh-contoh lain dapat kita temukan sendiri. Apabila di amati secara saksama, benda-benda yang melakukan gerak parabola selalu memiliki lintasan berupa lengkungan.Benda-benda yang bergerak seperti gerak pearabola dipengaruhi oleh beberapa faktor yaitu:
- Benda tersebut bergerak karena ada gaya yang diberikan. Gaya Pada kesempatan ini,belum menjelaskan bagaimana proses benda-benda tersebut dilemparkan, ditendang dan diberi gaya pada umumnya. Kita hanya memandang gerakan benda tersebut setelah dilemparkan dan bergerak bebas di udara hanya dengan pengaruh daripadah gravitasi.
- Seperti pada Gerak Jatuh Bebas, benda-benda yang melakukan gerak parabola dipengaruhi oleh gravitasi, yang berarah ke bawah menuju pusat bumi dengan besar g = 9,8 m/s2.
- Hambatan atau gesekan udara. Setelah benda tersebut benda tersebut diberikan kecepatan awal hingga bergerak, maka selanjutnya gerakannya bergantung kepada gravitasi atau gesekan pada hambatan udara. Karena kita menggunakan model ideal, maka dalam menganalisis gerak parabola selalu berpengaruh terhdap gravitasi.
Baca Juga Artikel Yang Mungkin Berhubungan : Gerak Vertikal Ke Bawah : Pengertian, Ciri, Dan Rumus Beserta Contoh Soalnya Secara Lengkap
Menurut Galileo’s

Gerak peluru menurut lintasan berbentuk parabola, sehingga gerak peluru ini disebut juga dengan gerak parabola. Untuk dapat menganalisis fenomena gerak parabola, haruslah paham terlebih dahulu konsep GLB dan GLBB. ilustrasi gerak parabola ini adalah komponen gerak benda di sumbu vertikal dan horizontal.
Baca Juga Artikel Yang Mungkin Berhubungan : Gerak Jatuh Bebas : Pengertian, Rumus, Dan Contoh Soalnya Secara Lengkap
Jenis-Jenis Gerak Parabola
- Gerakan benda berbentuk parabola ketika diberikan kecepatan awal dengan sudut teta terhadap garis horisontal, sebagaimana tampak pada gambar di bawah. Dalam kehidupan sehari-hari terdapat banyak gerakan benda yang berbentuk demikian.diantarany gerak bola basket yang dilemparkan secara vertikal, gerakan bola tenis, gerakan bola volly, gerakan lompat jauh dan gerakan peluru yang ditembakan dari permukaan bumi menuju titik tertentu.
- Gerakan benda berbentuk parabola ketika diberikan kecepatan awal pada ketinggian tertentu dengan arah sejajar horisontal, sebagaimana tampak pada gambar di bawah. Beberapa contoh gerakan jenis ini yang kita temui dalam kehidupan sehari-hari, meliputi gerakan bom yang dijatuhkan dari pesawat atau benda yang dilemparkan ke bawah dari ketinggian tertentu.
- Gerakan benda berbentuk parabola ketika diberikan kecepatan awal dari ketinggian tertentu dengan sudut teta terhadap garis horisontal, sebagaimana tampak pada gambar di bawah ini:
Dalam kehidupan sehari-hari terdapat beberapa jenis gerak parabola.
- gerak benda berbentuk parabola, ketika dierikan kecepatan awal dengan sudut teta terhadap garis horisontal, sebagaimana tampak pada gambar di bawah. Dalam kehidupan sehari-hari terdapat banyak gerakan benda yang berbentuk demikian. Beberapa diantaranya adalah gerakan bola yang ditendang oleh pemain sepak bola, gerakan bola basket yang dilemparkan ke dalam keranjang, gerakan bola tenis, gerakan bola volly, gerakan lompat jauh, dan gerakan peluru atau rudal yang ditembakan dari permukaan bumi.
- gerakan benda berbentuk parabola ketika diberikan kecepatan awal pada ketinggian tertentu dengan arah sejajar horisontal, sebagaimana tampak pada gambar di bawah. Beberapa contoh gerakan jenis ini yang kita temui dalam kehidupan sehari-hari, meliputi gerakan bom yang dijatuhkan dari pesawat atau benda yang dilemparkan ke bawah dari ketinggian tertentu.
- gerakan benda berbentuk parabola ketika diberikan kecepatan awal dari ketinggian tertentu dengan sudut teta terhadap garis horisontal.
Baca Juga Artikel Yang Mungkin Berhubungan : Pengertian Gerak Endonom, Esionom, Higroskopis Menurut Para Ahli
Persamaan Khusus Gerak Parabola
Waktu Mencapai Titi Tertinggi
Pada saat benda melakukan gerak parabola sampai mencapai titik tertinggi, kecepatan benda pada komponen vertikal (sumbu-y) vy = 0
Tinngi Maksimum (H)
Tinggi maksimum benda yang melakukan gerak parabola dapat ditentukan dari penurunan persamaan di atas adalah sebagai berikut.
Komponen Gerak Pada Sumbu (Y)
karena dipengaruhi percepatan grafitasi maka kecepatan pada arah ini akan selalu berubah. adapun nilai kecepatan pada arah vertikal yang terjadi setiap saat adalah :
Baca Juga Artikel Yang Mungkin Berhubungan : Pengertian Dan Definisi Gerak Menurut Para Ahli
Rumus Gerak Parabola
Persamaan -Persamaan Gerak Peluru
Kecepatan awal diuraikan menjadi komponen horizontal v0x dan voy yang besarnya :
v0x = v0 cos θ , dan
v0y = v0 sin θ
Karena komponen kecepatan horizontal konstan, maka pada setiap saat t akan diperoleh :
vtx = v0x + at = v0x + (0)t = vox = v0 cos θ
dan
x = v0xt + ½at2 = voxt + ½(0)t2 = v0xt
Sementara itu, percepatan vertikal adalah –g sehingga komponen kecepatan vertikal pada saat t adalah :
vty = voy – gt = vo sin θ – gt
y = voyt – ½gt2
v2ty =v20y – 2gy
Persamaan diatas berlaku jika peluru ditembakkan tepat pada titik awal dari sistem koordinat xy sehingga x0 = y0 = 0. Tetapi jika peluru tidak ditembakkan tepat pada titik awal koordinat (x0 ≠ 0 dan y0 ≠ 0), maka kedua persmaan tersebut menjadi :
x = x0 +v0xt = x0 + (v0 cos θ)t
y = y0 +voyt – ½gt2
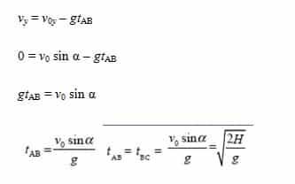
Pada titik tertinggi artinya pada posisi y maksimum, maka kecepatannya adalah horizontal sehingga vty = 0. Sehingga persamaan diatas menjadi :
vty = voy -gt
0 = voy – gt
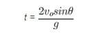
t = Voy/g
t = VoSinO/g
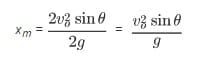
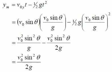
Persamaan diatas menunjukkan waktu yang dibutuhkan untuk mencapai ketinggian maksimum. Kemudian subtitusikan ke persamaan (y) sehingga diperoleh persamaan ketinggian maksimum sebagai berikut :
Subtitusi persamaan
Sedangkan pada titik terjauh dari titik awal artinya posisi x maksimum, maka waktu yang dibutuhkan untuk mencapai x maksimum adalah :
Dan posisi terjauh atau x maksimum adalah :
Baca Juga Artikel Yang Mungkin Berhubungan : Akibat Rotasi Bumi : Pengertian, Gambar, Proses, Dan Gerakan
Contoh Soal Gerak Parabola
Soal 1
David Bechkam menendang bola dengan sudut 30o terhadap sumbu x positif dengan kecepatan 20 m/s. Anggap saja bola meninggalkan kaki Beckham pada ketinggian permukaan lapangan. Jika percepatan gravitasi = 10 m/s2, hitunglah :
- a) Tinggi maksimum
- b) waktu tempuh sebelum bola menyentuh tanah
- c) jarak terjauh yang ditempuh bola sebelum bola tersebut mencium tanah
- d) kecepatan bola pada tinggi maksimum
- e) percepatan bola pada ketinggian maksimum
Panduan Jawaban :
Soal ini terkesan sulit karena banyak yang ditanyakan. Sebenarnya gampang, jika kita melihat dan mengerjakannya satu persatu-satu.
Karena diketahui kecepatan awal, maka kita dapat menghitung kecepatan awal untuk komponen horisontal dan vertikal.
Jika ditanyakan ketinggian maksimum, maka yang dimaksudkan adalah posisi benda pada sumbu vertikal (y) ketika benda berada pada ketinggian maksimum alias ketinggian puncak. Karena kita menganggap bola bergerak dari permukaan tanah, maka yo = 0. Kita tulis persamaan posisi benda pada gerak vertikal
Bagaimana kita tahu kapan bola berada pada ketinggian maksimum ? untuk membantu kita, ingat bahwa pada ketinggian maksimum hanya bekerja kecepatan horisontal (vx) , sedangkan kecepatan vertikal (vy) = 0. Karena vy = 0 dan percepatan gravitasi diketahui, maka kita gunakan salah satu gerak vertikal di bawah ini, untuk mengetahui kapan bola berada pada tinggian maksimum.
Berdasarkan perhitungan di atas, bola mencapai ketinggian maksimum setelah bergerak 1 sekon. Kita masukan nilai t ini pada persamaan y
Ketinggian maksimum yang dicapai bola adalah 5 meter. Gampang khan ?
- b) Waktu tempuh bola sebelum menyentuh permukaan tanah
Ketika menghitung ketinggian maksimum, kita telah mengetahui waktu yang diperlukan bola untuk mencapai ketinggian maksimum. Sekarang, yang ditanyakan adalah waktu tempuh bola sebelum menyentuh permukaan tanah. Yang dimaksudkan di sini adalah waktu tempuh total ketika benda melakukan gerak peluru.
Untuk menyelesaikan soal ini, hal pertama yang perlu kita ingat adalah ketika menyentuh permukaan tanah, ketinggian bola dari permukaan tanah (y) = 0. sekali lagi ingat juga bahwa kita menanggap bola bergerak dari permukaan tanah, sehingga posisi awal bola alias y0 = 0.
Sekarang kita tuliskan persamaan yang sesuai, yaitu
Waktu tempuh total adalah 2 sekon.
Sebenarnya kita juga bisa menggunakan cara cepat. Pada bagian a), kita sudah menghitung waku ketika benda mencapai ketinggian maksimum. Nah, karena lintasan gerak peluru berbentuk parabola, maka kita bisa mengatakan waktu tempuh benda untuk mencapai ketinggian maksimum merupakan setengah waktu tempuh total. Dengan kata lain, ketika benda berada pada ketinggian maksimum, maka benda tersebut telah melakukan setengah dari keseluruhan gerakan. Cermati gambar di bawah ini sehingga anda tidak kebingungan. Dengan demikian, kita bisa langsung mengalikan waktu tempuh bola ketika mencapai ketinggian maksimum dengan 2, untuk memperoleh waktu tempuh total.
- c) Jarak terjauh yang ditempuh bola sebelum bola tersebut mencium tanah
Jika ditanya jarak tempuh total, maka yang dimaksudkan di sini adalah posisi akhir benda pada arah horisontal (atau s pada gambar di atas). Soal ini gampang, tinggal dimasukkan saja nilainya pada persamaan posisi benda untuk gerak horisontal atau sumbu x. karena kita menghitung jarak terjauh, maka waktu
- d) kecepatan bola pada tinggi maksimum
Pada titik tertinggi, tidak ada komponen vertikal dari kecepatan. Hanya ada komponen horisontal (yang bernilai tetap selama bola melayang di udara). Dengan demikian, kecepatan bola pada pada tinggi maksimum adalah :
- e) percepatan bola pada ketinggian maksimum
Pada gerak peluru, percepatan yang bekerja adalah percepatan gravitasi yang bernilai tetap, baik ketika bola baru saja ditendang, bola berada di titik tertinggi dan ketika bola hendak menyentuh permukaan tanah. Percepatan gravitasi (g) berapa ? jawab sendiri ya…
Soal 2
Sebuah peluru ditembakkan dari moncong sebuah meriam dengan kelajuan 50 m/s arah mendatar dari atas sebuah bukit, ilustrasi seperti gambar berikut.
Diketahui
- percepatan gravitasi bumi = 10 m/s2
- ketinggian bukit = 100 m
Tentukan :
a. Waktu yang diperlukan peluru untuk mencapai tanah
b. Jarak mendatar yang dicapai peluru (S)
Pembahasan
a) Waktu yang diperlukan peluru untuk mencapai tanah
Tinjau gerakan sumbu Y, yang merupakan gerak jatuh bebas. Sehingga Voy = O dan ketinggian bukit namakan Y (di soal dinamakan h)
Y = 1/2 g t2
100 = (1/2)(10) t2
t = √20 = 2√5 sekon
Jadi, waktu yang diperlukan peluru mencapai tanah yaitu 2√5 sekon
b) Jarak mendatar yang dicapai peluru (S)
Jarak mendatar gerakan berupa GLB karena sudutnya nol terhadap horizontal langsung saja pakai rumus:
S = V t
S = (50)( 2 √5) = 100 √5 meter
Jadi, Jarak mendatar yang dicapai peluru (S) yaitu 100 √5 meter
website Pelajaran SD SMP SMA dan Kuliah Terlengkap
mata pelajaran
jadwal mata pelajaran mata pelajaran sma jurusan ipa mata pelajaran sd mata pelajaran dalam bahasa jepang mata pelajaran kurikulum merdeka mata pelajaran dalam bahasa inggris mata pelajaran sma jurusan ips mata pelajaran sma
bahasa inggris mata pelajaran
bu ani memberikan tes ujian akhir mata pelajaran ipa
tujuan pemberian mata pelajaran pendidikan kewarganegaraan di sekolah adalah
dalam struktur kurikulum mata pelajaran mulok bersifat opsional. artinya mata pelajaran smp mata pelajaran ipa mata pelajaran bahasa indonesia mata pelajaran ips mata pelajaran bahasa inggris mata pelajaran sd kelas 1
data mengenai mata pelajaran favorit dikumpulkan melalui cara
soal semua mata pelajaran sd kelas 1 semester 2 mata pelajaran smk mata pelajaran kelas 1 sd mata pelajaran matematika mata pelajaran ujian sekolah sd 2022
bahasa arab mata pelajaran mata pelajaran jurusan ips mata pelajaran sd kelas 1 2021 mata pelajaran sbdp mata pelajaran kuliah mata pelajaran pkn
bahasa inggrisnya mata pelajaran mata pelajaran sma jurusan ipa kelas 10 mata pelajaran untuk span-ptkin mata pelajaran ppkn mata pelajaran ips sma mata pelajaran tik
nama nama mata pelajaran dalam bahasa inggris mata pelajaran pkn sd mata pelajaran mts mata pelajaran pjok
nama nama mata pelajaran dalam bahasa arab mata pelajaran bahasa inggrisnya mata pelajaran bahasa arab
seorang pengajar mata pelajaran akuntansi di sekolah berprofesi sebagai
nama mata pelajaran dalam bahasa jepang
hubungan bidang studi pendidikan kewarganegaraan dengan mata pelajaran lainnya
dalam struktur kurikulum mata pelajaran mulok bersifat opsional artinya mata pelajaran dalam bahasa arab
tujuan mata pelajaran seni rupa adalah agar siswa