Monosakarida Disakarida dan Polisakarida : Pengertian, Perbedaan, Struktur dan Klasifikasi adalah segolongan besar senyawa organik yang memiliki berbagai fungsi dalam tubuh makhluk hidup
Baca Juga Artikel Yang Mungkin Berhubungan : Pengertian Jenis dan Fungsi Protein Terlengkap
Pengertian
Monosakarida
Monosakarida merupakan zat yang mereduksi dikarenakan adanya gugus karbonil. Biasanya disebut dengan menambahkan akhiran ose (atau osa dalam istilah Indonesia) pada akhir kata, seperti gluocose (glukosa) dan fructose (fruktosa). Akhiran osa ini sering digunakan sebagai nama umum. Selain itu, penggolongan monosakarida tergantung pada jumlah atom oksigen yang terdapat di dalam senyawa.
Monosakarida dari Bahasa Yunani “mono” yang berarti “satu” dan sacchar yang berarti “gula” , ialah senyawa karbohidrat didalam bentuk gula yang paling sederhana. Beberapa dari monosakarida tersebut memiliki rasa manis. Sifat umum pada monosakarida ialah larut air, tidak berwarna, dan juga berbentuk padat kristal. Contoh dari monosakarida ialah glukosa (dekstrosa), galaktosa, xilosa ,fruktosa (levulosa), dan juga ribosa. Monosakarida ialah senyawa pembentuk disakarida (seperti sukrosa) dan juga polisakarida (seperti selulosa serta amilum).
Disakarida
Disakarida ialah gula atau karbohidrat yang dibuat dengan melalui dengan cara menghubungkan dua monosakarida.
Disakarida sangat penting untuk farmasi. seperti sukrosa (gula pasir), laktosa (gula susu), dan gentiobiosa. Sukrosa adalah disakarida yang tidak mereduksi karena tidak memiliki gugus aldehida bebas. Sukrosa merupakan satu-satunya disakarida banyak terdapat pada tanaman, sari buah-buahan, air batang tebu, dan tanaman lain.
Disakarida merupakan karbohidrat yang terbentuk dari dua molekul monosakarida yang berikatan melalui gugus -OH dengan melepaskan molekul air. Contoh dari disakarida adalah sukrosa, laktosa, dan maltosa.
Polisakarida
Polisakarida sering juga dinamakan senyawa bukan gula karena rasanya tidak manis. Polisakarida merupakan senyawa yang terdiri dari ratusan atau bahkan ribuan satuan monosakarida per molekul. Seperti pada disakarida, satuan-satuan polisakarida saling berhubungan satu sama lain secara glikosidik dan dapat dipecah dengan cara hidrolisis. Polisakarida adalah polimer yang terbentuk secara alami. Polisakarida dianggap berasal dari aldosa atau ketosa dengan polimerisasi kondensasi
Polisakarida merupakan karbohidrat yang terbentuk dari banyak sakarida sebagai monomernya. Rumus umum polisakarida yaitu C6(H10O5)n. Contoh polisakarida adalah selulosa, glikogen, dan amilum. Polisakarida dibedakan menjadi dua jenis, yaitu polisakarida simpanan dan polisakarida struktural. Polisakarida simpanan berfungsi sebagai materi cadangan yang ketika dibutuhkan akan dihidrolisis untuk memenuhi permintaan gula bagi sel. Polisakarida struktural berfungsi sebagai materi penyusun dari suatu sel atau keseluruhan organisme.
polisakarida ialah polimer karbohidrat kompleks yang terbentuk melalui hubungan dari banyak monomer monosakarida. Salah satunya dari polisakarida ialah pati, bentuk utama dari penyimpanan energi pada suatu tanaman. Pati ialah bahan makanan pokok pada sebagian besar manusia. Makanan seperti jagung, kentang, beras, dan juga gandum memiliki kandungan pati yang tinggi.
Baca Juga Artikel Yang Mungkin Berhubungan : Pengertian, Klasifikasi dan 4 Fungsi Karbohidrat Beserta Sumbernya Secara Lengkap
Sifat Klasifikasi
Karbohidrat (hidrat dari karbon, hidrat arang) atau sakarida (dari bahasa Yunani σάκχαρον, sákcharon, berarti “gula”) adalah segolongan besarsenyawa organik yang paling melimpah di bumi. Karbohidrat memiliki berbagai fungsi dalam tubuh makhluk hidup, terutama sebagai bahan bakar (misalnya glukosa), cadangan makanan (misalnya pati pada tumbuhan dan glikogen pada hewan), dan materi pembangun (misalnya selulosa pada tumbuhan, kitin pada hewan dan jamur). Pada proses fotosintesis, tumbuhan hijau mengubah karbon dioksida menjadi karbohidrat.
Secara biokimia, karbohidrat adalah polihidroksil-aldehida atau polihidroksil-keton, atau senyawa yang menghasilkan senyawa-senyawa ini bila dihidrolisis. Karbohidrat mengandung gugus fungsi karbonil (sebagai aldehida atau keton) dan banyak gugus hidroksil. Pada awalnya, istilah karbohidrat digunakan untuk golongan senyawa yang mempunyai rumus (CH2O)n, yaitu senyawa-senyawa yang n atom karbonnya tampak terhidrasi oleh n molekul air. Namun demikian, terdapat pula karbohidrat yang tidak memiliki rumus demikian dan ada pula yang mengandungnitrogen, fosforus, atau sulfur.
Bentuk molekul karbohidrat paling sederhana terdiri dari satu molekul gula sederhana yang disebut monosakarida, misalnya glukosa, galaktosa, dan fruktosa. Banyak karbohidrat merupakan polimer yang tersusun dari molekul gula yang terangkai menjadi rantai yang panjang serta dapat pula bercabang-cabang, disebut polisakarida, misalnya pati, kitin, dan selulosa. Selain monosakarida dan polisakarida, terdapat pula disakarida (rangkaian dua monosakarida) dan oligosakarida (rangkaian beberapa monosakarida).
Klasifikasi Karbohidrat
Berdasar kompleksitasnya, dapat dibagi menjadi 3 golongan, yaitu :
- Monosakarida; karbohidrat tunggal
- Oligosakarida; karbohidrat yg tersusun dr beberapa(6 – 8) monosakarida
- Polisakarida; karbohidrat yang tersusun dari lebih dari 10 monosakarida
1. Monosakarida
Monosakarida merupakan jenis karbohidrat sederhana yang terdiri dari 1 gugus cincin. Contoh dari monosakarida yang banyak terdapat di dalam sel tubuh manusia adalah glukosa, fruktosa dan galaktosa. Glukosa di dalam industri pangan lebih dikenal sebagai dekstrosa atau juga gula anggur. Di alam glukosa banyak terkandung di dalam buah-buahan, sayuran dan juga sirup jagung.
Fruktosa dikenal juga sebagai gula buah dan merupakan gula dengan rasa yang paling manis. Di alam fruktosa banyak terkandung di dalam madu (bersama dengan glukosa), dan juga terkandung diberbagai macam buah-buahan.
Sedangkan galaktosa merupakan karbohidrat hasil proses pencernaan laktosa sehingga tidak terdapat di alam secara bebas. Selain sebagai molekul tunggal, monosakarida juga akan berfungsi sebagai molekul dasar bagi pembentukan senyawa karbohidrat kompleks pati (starch) atau selulosa.
2. Olisakarida
Olisakarida adalah KH yang jika dihidrolisis menghasilkan 2-8 gugus monosakarida. Contoh: Maltotriose glukosa+glukosa+glukosa. Kelompok oligosakarida ini diantaranya juga termasuk disakarida. Disakarida merupakan jenis karbohidrat yang banyak dikonsumsi oleh manusia di dalam kehidupan sehari-hari. Setiap molekul disakarida akan terbentuk dari gabungan 2 molekul monosakarida.
Contoh disakarida yang umum digunakan dalam konsumsi sehari-hari adalah sukrosa yang terbentuk dari gabungan 1 molekul glukosa dan fruktosa dan juga laktosa yang terbentuk dari gabungan 1 moleku glukosa & galaktosa. Di dalam produk pangan, sukrosa merupakan pembentuk hampir 99% dari gula pasir atau gula meja (table sugar) yang biasa digunakan dalam konsumsi sehari-hari sedangkan laktosa merupakan karbohidrat yang banyak terdapat di dalam susu sapi dengan konsentrasi 6.8gr/100 ml.
3. Polysakarida
Polisakarida adalah KH yang jika dihidrolisis menghasilkan lebih dari 6 gugus monosakarida. Contohnya yaitu: Glikogen, Amilum, Selulosa dan Dextrin. Berdasarkan fungsinya polisakarida dibagi menjadi polisakarida sebagai bahan bakar (glikogen dan amilim) dan polisdakarida sebagai struktural (dextran, kitin dan selulosa).
- a. Glikogen
Glikogen merupakan salah satu bentuk simpanan energi di dalam tubuh yang dapat dihasilkan melalui konsumsi karbohidrat dalam sehari-hari dan merupakan salah satu sumber energi utama yang digunakan oleh tubuh pada saat berolahraga. Di dalam tubuh glikogen akan tersimpan di dalam hati dan otot. Kapasitas penyimpanan glikogen di dalam tubuh sangat terbatas yaitu hanya sekitar 350-500 gram atau dapat menyediakan energi sebesar 1.200-2.000 kkal. Namun kapasitas penyimpanannya ini dapat ditingkatkan dengan cara memperbesar konsumsi karbohidrat dan mengurangi konsumsi lemak atau dikenal dengan istilah carbohydrate loading dan penting dilakukan bagi atlet terutama yang menekuni cabang olahraga bersifat endurans (endurance) seperti maraton atau juga sepakbola. Sekitar 67% dari simpanan glikogen yang terdapat di dalam tubuh akan tersimpan di dalam otot dan sisanya akan tersimpan di dalam hati. Di dalam otot, glikogen merupakan simpanan energi utama yang mampu membentuk hampir 2% dari total massa otot. Amilum (pati) Pati merupakan simpanan energi di dalam sel-sel tumbuhan berbentuk butiran-butiran kecil mikroskopik dengan berdiameter berkisar antara 5-50 nm.
Struktur pati terdiri dari α- amilosa dan amilopektin. Amilosa merupakan polimer glukosa rantai panjang yang tidak bercabang sedangkan amilopektin merupakan polimer glukosa dengan susunan yang bercabang-cabang. Komposisi kandungan amilosa dan amilopektin ini akan bervariasi dalam produk pangan dimana produk pangan yang memiliki kandungan amilopektin tinggi akan semakin mudah untuk dicerna. Di alam, pati akan banyak terkandung dalam beras, gandum, jagung, biji-bijian seperti kacang merah atau kacang hijau dan banyak juga terkandung di dalam berbagai jenis umbi-umbian seperti singkong, kentang atau ubi.
- b. Kitin
Kitin merupakan polimer dari N-asetil –D-glukosamin yang digabungkan oleh ikatan β. Kitin terdapat pada cangkang kulit luar insekta. - c. Dextran
Dextran merupakan polimer dari glukosa, dimana masing-masing residu glukosa dihibun gkan dengan ikatan α 1-6. dextan juga memilki rantai cabang yang dibentuk khusus dengan ikatan α 1-2, α 1-3 atau α 1-4 tergantung pada spesies bakteri yang menggunakan dextran sebagai sumber casdangan makanannya. - d. Selulosa
Selulosa merupakan suatu senyawa homopolisakarida yang linier, berbentuk seperti rambut, dan tidak larit dalam air. Selain itu, merupakan polosakarida ekstraseluler pada dinding sel tumbuhan tinggi, mikroorganisme dan permukaan luar membran sel hewan. Unit pembentuk selulosa adalah D- glukosa dengan ikatan β 1-4.
Baca Juga Artikel Yang Mungkin Berhubungan : Pengertian Fungsi dan Jenis-Jenis Vitamin
Identifikasi Karbohidrat
Pemisahan dan identifikasi karbohidrat dapat dilakukan dengan teknik kromatografi, akan tetapi terdapat sejumlah test-test kualitatif yang dapat dilakukan diantaranya :
- Uji Molish
Uji ini merupakan uji yang paling umum untuk pengetesan adanya karbohidrat dan senyawa organik lainnya. Pada uji ini asam sulfat pekat berfungsi untuk menghidrolisis ikatan glikosidik, menghasilkan monosakarida yang akan didehidrasi menjadi furfural dan turunanya. Furfural mengalami sulfonasi dengan alpha naftol yang akan menghasilkan cincin warna ungu kompleks (merah-ungu), yang menunjukan adanya karbohidrat. - Uji Benedict
Uji ini digunakan untuk pengetesan adanya gula pereduksi. Hasil tes ini memberikan endapan warna hijau, kuning, atau merah jingga yang memberikan perkiraaan semikualitatif adanya sejumlah gula yang mereduksi. - Uji Barfoed
Uji ini digunakan untuk membedakan monosakarida, disakarida, dan polisakarida. Barfoed merupakan pereaksi yang bersifat asam lemah dan hanya direduksi oleh monosakarida. Disakarida akan dapat dihidrolisis sehingga bereaksi positif dengan pemanasan yang lebih lama. Dengan kata lain untuk membedakan monosakarida, disakarida, polisakarida tergantung berapa lama pemanasan sampai terbentuk endapan tembaga oksida yang berwarna merah bata. - Uji Bial
Uji ini digunakan untuk menguji adanya gula pentosa. Pemanasan pentosa dengan HCL pekat akan menghasilkan furfural yang berkondensasi dengan orcinol dan ion feri . Hasil pemanasan akan menghasilkan warna biru-hijau yang menunjukan adanya gula pentosa. - Uji Selliwanof
Uji ini digunakan untuk menguji adanya gugus keton. Ketosa akan didehidrasi lebih cepat dari aldosa. Furfural akan berkondensasi dengan recorcinol (1,3- dihidroksi benzena) yang akan memberikan warna merah kompleks (merah-cherry). - Uji Iodium
Uji ini digunakan untuk menguji adanya polisakarida. Pembentukan warna biru menunjukan adanya pati, warna merah menunjukan adanya glikogen atau eritrodekstrin.
Baca Juga Artikel Yang Mungkin Berhubungan : Pengertian Dan Jenis Napza Menurut Para Ahli
Struktur Monosakarida, Disakarida, dan Polisakarida
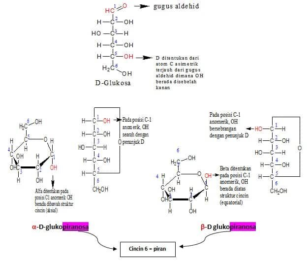
Monosakarida
Baca Juga Artikel Yang Mungkin Berhubungan : Biologi : Pengertian, Manfaat, Cabang dan Menurut Para Ahli
Disakarida
Baca Juga Artikel Yang Mungkin Berhubungan : Pengetian Dan Perbedaan Monosakarida Disakarida dan Polisakarida
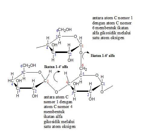
Polisakarida
- a. Amilosa
-
b. Amilopektin
Baca Juga Artikel Yang Mungkin Berhubungan : Pengertian Biogum dan Gum Xanthan Ilmu Biologi
Perbedaan Monosakarida, Disakarida, dan Polysakarida
Monosakarida
Monosakarida ialah zat yang mereduksi yang disebabkan karena adanya gugus karbonil. Biasanya dikenal dengan menambahkan akhiran ose (ataupun osa dalam istilah Indonesia) pada akhir kata, seperti gluocose (glukosa) dan juga fructose (fruktosa). Akhiran osa ini sering digunakan ialah sebagai nama umum. Selain itu juga, penggolongan monosakarida tersebut tergantung pada jumlah atom oksigen yang terdapat di dalam senyawa.
Polisakarida adalah karbohidrat dengan molekul polimer yang terdiri dari banyak (lebih dari dua) rantai unit monosakarida yang diikat bersama oleh ikatan glikosidik. Polisakarida dapat memiliki struktur linier dan bercabang. Polisakarida misalnya adalah selulosa (banyak terdapat pada dinding sel tanaman ), chitin (terdapat pada dinding sel jamur dan cangkang serangga), dan glikogen (bentuk cadangan makanan pada tubuh).
Disakarida
Disakarida tersebut sangat penting untuk farmasi. seperti sukrosa (gula pasir), laktosa (gula susu), dan juga gentiobiosa. Sukrosa ialah disakarida yang tidak mereduksi disebabkan karena tidak memiliki gugus aldehida bebas. Sukrosa tersebut ialah satu-satunya disakarida banyak terdapat pada tanaman, air batang tebu, sari buah-buahan, dan juga tanaman lain.
Disakarida adalah karbohidrat yang terbentuk ketika dua monosakarida bergabung dengan ikatan glikosidik. Seperti monosakarida, disakarida larut dalam air. Tiga contoh umum adalah sukrosa (terdapat pada gula dapur, tersusun dari glukosa dan fruktosa), laktosa (terdapat pada susu, tersusun dari glukosa dan galaktosa), dan maltosa (terdapat pada sereal dan makanan fermentasi, tersusun dari dua unit glukosa).
Polisakarida
Polisakarida ini sering juga dikenal dengan nama senyawa bukan gula dikarenakan rasanya tidak manis. Polisakarida tersebut ialah senyawa yang terdiri dari ratusan maupun bahkan ribuan satuan monosakarida per molekulnya . Seperti pada disakarida, satuan-satuan polisakarida tersebut saling berhubungan satu dengan lain secara glikosidik dan juga dapat dipecah dengan cara hidrolisis. Polisakarida ialah polimer yang terbentuk secara alami. Polisakarida tersebut dianggap berasal dari aldosa ataupun ketosa dengan polimerisasi kondensasi.
Monosakarida, juga disebut gula sederhana, adalah bentuk karbohidrat yang paling sederhana dan satuan karbohidrat paling dasar karena menyusun disakarida dan polisakarida. Monosakarida tidak dapat dihidrolisis lebih lanjut menjadi senyawa gula yang lebih sederhana. Rumus umum adalah C ₙH ₂ₙO ₙ. Monosakarida biasanya tidak berwarna, larut dalam air, dan padatan kristal. Contoh monosakarida adalah glukosa, galaktosa, fruktosa, sakarosa dan maltosa.
website Pelajaran SD SMP SMA dan Kuliah Terlengkap
mata pelajaran
jadwal mata pelajaran mata pelajaran sma jurusan ipa mata pelajaran sd mata pelajaran dalam bahasa jepang mata pelajaran kurikulum merdeka mata pelajaran dalam bahasa inggris mata pelajaran sma jurusan ips mata pelajaran sma
bahasa inggris mata pelajaran
bu ani memberikan tes ujian akhir mata pelajaran ipa
tujuan pemberian mata pelajaran pendidikan kewarganegaraan di sekolah adalah
dalam struktur kurikulum mata pelajaran mulok bersifat opsional. artinya mata pelajaran smp mata pelajaran ipa mata pelajaran bahasa indonesia mata pelajaran ips mata pelajaran bahasa inggris mata pelajaran sd kelas 1
data mengenai mata pelajaran favorit dikumpulkan melalui cara
soal semua mata pelajaran sd kelas 1 semester 2 mata pelajaran smk mata pelajaran kelas 1 sd mata pelajaran matematika mata pelajaran ujian sekolah sd 2022
bahasa arab mata pelajaran mata pelajaran jurusan ips mata pelajaran sd kelas 1 2021 mata pelajaran sbdp mata pelajaran kuliah mata pelajaran pkn
bahasa inggrisnya mata pelajaran mata pelajaran sma jurusan ipa kelas 10 mata pelajaran untuk span-ptkin mata pelajaran ppkn mata pelajaran ips sma mata pelajaran tik
nama nama mata pelajaran dalam bahasa inggris mata pelajaran pkn sd mata pelajaran mts mata pelajaran pjok
nama nama mata pelajaran dalam bahasa arab mata pelajaran bahasa inggrisnya mata pelajaran bahasa arab
seorang pengajar mata pelajaran akuntansi di sekolah berprofesi sebagai
nama mata pelajaran dalam bahasa jepang
hubungan bidang studi pendidikan kewarganegaraan dengan mata pelajaran lainnya
dalam struktur kurikulum mata pelajaran mulok bersifat opsional artinya mata pelajaran dalam bahasa arab
tujuan mata pelajaran seni rupa adalah agar siswa