Rumus Kerucut: Luas Volume, Tinggi dan Gambar – Kerucut adalah bentuk geometris yang dibatasi oleh sisi melengkung dan alas lingkaran. Definisi lain dari kerucut adalah bentuk sisi melengkung yang terlihat seperti piramida bersisi-n biasa dengan alas melingkar.

Sebuah kerucut dapat dibentuk dari segitiga siku-siku yang diputar 360 derajatOh, dimana sisi siku-siku merupakan pusat rotasi. Perhatikan gambar 1. Kerucut pada gambar 1 dapat dibentuk dari TOA persegi panjang yang diputar, dimana sisi TO merupakan pusat rotasi.
Baca juga artikel terkait: 54 gambar kisi-kisi, rumus dan cara membuatnya
Sifat Kerucut
Kerucut memiliki beberapa sifat, yaitu:
- Kerucut adalah bentuk geometris piramidal yang dasarnya adalah lingkaran
- Jaring kerucut terdiri dari lingkaran dan segitiga
- Sebuah kerucut memiliki 2 sisi dan 1 rusuk
- Salah satu sisinya berupa bidang lengkung yang disebut conical blanket
- Memiliki satu simpul
- Memiliki satu titik puncak
Jaring kerucut
Berikut adalah gambar jaring-jaring berbentuk kerucut yang menyusun rumus perhitungannya. Bagi Anda yang kesulitan menemukan gambar jaring untuk membangun ruang, semoga gambar ini dapat membantu mengatasi masalah tersebut.

Jaring kerucut terdiri dari lingkaran sebagai alas dan bentuk segitiga dengan alas melengkung sebagai selimut.
Elemen kerucut

Kerucut memiliki unsur-unsur berikut:
- Bidang alas, yaitu sisi lingkaran (area grid) yang berpusat di titik O.
- Diameter dasar (D), yang merupakan ruas garis AB.
- jari-jari bidang dasar (R), yaitu ruas garis OA dan ruas garis OB.
- tinggi kerucut (T), yaitu jarak dari puncak kerucut C ke pusat bidang alas O, yaitu ruas garis CO.
- Selubung kerucut, yaitu sisi kerucut yang tidak bergaris yang merupakan bidang lengkung.
- Apotema atau garis pelukis, yaitu hipotenusa BC.
Hubungan antara r, s dan t pada sebuah kerucut dinyatakan dengan persamaan berikut.
| S2 = r2 +t2 | R2 = s2 ─ t2 | T2 = s2 ─r2 |
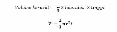
Volume Kerucut
Pada dasarnya kerucut adalah limas karena memiliki titik sudut sehingga volume kerucut sama dengan volume limas, yaitu 1/3 kali luas alas kali tinggi. Karena alas kerucut berbentuk lingkaran, maka luas alasnya adalah luas lingkaran. Oleh karena itu, volume kerucut dapat dirumuskan sebagai berikut.
Rumus Volume Kerucut

dengan
r = jari-jari lingkaran alas
t = tinggi kerucut
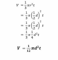
Karena r = 1/2 d (d adalah diameter lingkaran) maka bentuk lain dari rumus volume kerucut adalah sebagai berikut.

Contoh:

Baca juga artikel terkait: Jaring kubus: 11 pola gambar dan cara membuatnya
Properti Cone Space Build
- Memiliki 2 sisi (1 sisi lingkaran dan 1 sisi selimut)
- Memiliki 2 sisi dan 1 titik
Luas permukaan kerucut
Perlu kita ketahui bahwa permukaan kerucut terdiri dari dua bidang yaitu bidang lengkung (selimut) dan bidang alas berbentuk lingkaran. Untuk lebih jelasnya perhatikan uraian berikut.

Jika kerucut di atas dipotong sepanjang garis CD dan mengelilingi alasnya, maka akan diperoleh jaring kerucut seperti pada Gambar 3. Jaring kerucut ini terdiri dari :
- Busur lingkaran CDD yang merupakan selubung kerucut.
- Lingkaran dengan jari-jari R yang merupakan sisi alas kerucut.
Misalnya, panjang apotema adalah S dan jari-jari lingkaran alas adalah R. Selimut berbentuk kerucut adalah lingkaran dengan jari-jari S dengan panjang busur DD’ adalah keliling lingkaran alas kerucut yaitu 2πr.
*) Jadi kita dapatkan
Rumus luas selimut kerucut
sama dengan luas bagian CDD’.

*) Rumus Luas permukaan kerucut
= Area selimut + Area alas

dengan:
r : jari-jari lingkaran alas
s: apotema
π = 22/7 atau 3,14
Contoh masalah permukaan kerucut:
- Sebuah kerucut memiliki jari-jari alas 6 cm dan tinggi 8 cm. Hitung luas kerucut (π = 3,14).
Menjawab:
Dikenal:
Jari-jari alas = r = 6cm
Tinggi kerucut = t = 8 cm
Ditanya : Luas permukaan kerucut
Penyelesaian:

- Jika diameter sebuah kerucut 10 cm dan tingginya 12 cm, tentukan:
A. panjang apotema,
B. area selimut berbentuk kerucut,
C. permukaan
Menjawab:
Dikenal:
d = 10 maka r = 5 cm
t = 12 cm
Diminta:
A. panjang garis pelukis
B. luas selimut kerucut
C. permukaan kerucut
Penyelesaian:
A. S2 = t2 +r2
= 122 + 52
= 144 + 25
= 169

Jadi, panjang garis kerucut adalah 13 cm.
B. Luas kerucut = πrs
= 3,14 x 5 x 13
= 204,1
Jadi, luas kerucut adalah 204,1 cm2.
C. Luas permukaan kerucut = πr (s + r)
= 3,14 x 5 x (13 + 5)
= 282,6
Jadi, luas permukaan kerucut adalah 282,6 cm2
Area kerucut terpotong
Luas kerucut besar dikurangi luas kerucut kecil. Perhatikan Gambar 4 di bawah ini.

Karena itu
Luas permukaan kerucut


Contoh:

Menjawab:

Volume kerucut seks
Volume kerucut terpotong adalah volume kerucut besar dikurangi volume kerucut kecil. Perhatikan gambar 5 di bawah ini.


Contoh gambar bangunan kerucut dalam kehidupan




BIBLIOGRAFI
-
Handoko, Tri, mahir Matematika. Jakarta: Untuk Sekolah Dasar kelas 5 tahun 2004
-
Djoko Iswadji 1988. Geometri Ruang Yogyakarta: FMIPA IKIP Yogyakarta.
website Pelajaran SD SMP SMA dan Kuliah Terlengkap
mata pelajaran
jadwal mata pelajaran mata pelajaran sma jurusan ipa mata pelajaran sd mata pelajaran dalam bahasa jepang mata pelajaran kurikulum merdeka mata pelajaran dalam bahasa inggris mata pelajaran sma jurusan ips mata pelajaran sma
bahasa inggris mata pelajaran
bu ani memberikan tes ujian akhir mata pelajaran ipa
tujuan pemberian mata pelajaran pendidikan kewarganegaraan di sekolah adalah
dalam struktur kurikulum mata pelajaran mulok bersifat opsional. artinya mata pelajaran smp mata pelajaran ipa mata pelajaran bahasa indonesia mata pelajaran ips mata pelajaran bahasa inggris mata pelajaran sd kelas 1
data mengenai mata pelajaran favorit dikumpulkan melalui cara
soal semua mata pelajaran sd kelas 1 semester 2 mata pelajaran smk mata pelajaran kelas 1 sd mata pelajaran matematika mata pelajaran ujian sekolah sd 2022
bahasa arab mata pelajaran mata pelajaran jurusan ips mata pelajaran sd kelas 1 2021 mata pelajaran sbdp mata pelajaran kuliah mata pelajaran pkn
bahasa inggrisnya mata pelajaran mata pelajaran sma jurusan ipa kelas 10 mata pelajaran untuk span-ptkin mata pelajaran ppkn mata pelajaran ips sma mata pelajaran tik
nama nama mata pelajaran dalam bahasa inggris mata pelajaran pkn sd mata pelajaran mts mata pelajaran pjok
nama nama mata pelajaran dalam bahasa arab mata pelajaran bahasa inggrisnya mata pelajaran bahasa arab
seorang pengajar mata pelajaran akuntansi di sekolah berprofesi sebagai
nama mata pelajaran dalam bahasa jepang
hubungan bidang studi pendidikan kewarganegaraan dengan mata pelajaran lainnya
dalam struktur kurikulum mata pelajaran mulok bersifat opsional artinya mata pelajaran dalam bahasa arab
tujuan mata pelajaran seni rupa adalah agar siswa