Linear Programing – Tujuan, Model, Fungsi, Metode, Para Ahli

linear-programing-231x300-2667111-2496630-jpg

Penegertian Linear Programing – Tujuan, Model, Fungsi, Langkah, Bentuk, Metode, Para Ahli : Dalam kasus program linear, fungsi objektif dan kendala adalah semua fungsi linear dari variabel keputusan.


linear-programing-231x300-7571006

Penegertian Linear Programing

Dalam suatu penetapan jumlah dan juga jenis produksinya yang harus dihasilkan oleh suatu perusahaan untuk periode tertentu dapat menggunakan suatu metode linier programming. Dengan metode linier programming tersebut perusahaan dapat menentukan kombinasi produk yang akan dihasilkan oleh suatu perusahaan dengan kapasitas produksi yang dipunyai perusahaan.


Baca Juga Artikel Yang Mungkin Berhubungan : Peranan Media Massa Dalam Komunikasi Politik Beserta Proses Dan Modelnya


Dalam sebuah program mathematika terdapat sebuah fungsi objektif tunggal, yang mempresenting sehingga laba menjadi maksimal atau membuat agar harga menjadi minimal, dan kendala yang membatasi variabel keputusan. Dalam kasus program linear, fungsi objektif dan kendala adalah semua fungsi linear dari variabel keputusan. Program linear secara luas menggunakan tipe model yang dapat menyelesaikan masalah keputsan dengan beribu variabel.


Banyak Sekali Definisi Menurut Para Ahli , antara lain ialah sebagai berikut :

Tujuan Linear Programing

Tujuan Linear Programing ialah mencari pemecahan persoalan-persoalan yang timbul didalam perusahaan, yakni mencari keadaan yang optimal dengan cara memperhitungkan batasan  yang ada.


Model Linear Programing

Ciri khas model linear programming ialah bahwa linear programming tersebut didukung oleh macam-macam asumsi yang menjadikan sebagai tulang punggung model tersebut. Asumsi tersebut antara lain ialah sebagai berikut :


Baca Juga Artikel Yang Mungkin Berhubungan : Pengertian Media Komunikasi Menurut Para Ahli Beserta Jenis Dan Fungsinya


  • Additivity

    Pada Asumsi ini ialah bahwa nilai tujuan pada tiap kegiatan tidak saling mempengaruhi satu sama lain, atau dalam linear programming tersebut dianggap bahwa suatu kenaikan nilai tujuan yang diakibatkan oleh kenaikan suatu kegiatan(proses) dapat ditumbuhkan dengan tidak harus mempengaruhi nilai Z yang diperoleh dari kegiatan lain.


  • Deterministic (certainty)

    Pada Asumsi ini menyatakan bahwa semua parameter yang terdapat didalam model linear programming (aij, bj, cj ) tersebut dapat diperkirakan dengan pasti walaupun jarang digunakan tepat.


Fungsi Linear Programming

Dalam model linear programming dikenal 2 macam fungsi :


1. Fungsi Tujuan (objective Function)

Fungsi tujuan ialah fungsi yang menggambarkan suatu tujuan ataupun sasaran ataujuga target didalam suatu permasalahan linear programming yang berkaitan dengan suatu peraturan dengan secara optimal sumber daya(resource) untuk memperoleh suatu keuntungan yang maksimal.


2. Fungsi Batasan (Constraint Function)

Fungsi ialah suatu bentuk penyajian dengan secara sistematis batasan-batasan suatu kapasitas yang tersedia akan dapat dialokasikan secara optimal. Masalah linear programming tersebut dapat dinyatakan ialah sebagai proses optimisasi suatu fungsi tujuan didalam bentuk  Memaksimumkan ataupun meminimumkan.


Baca Juga Artikel Yang Mungkin Berhubungan : 21 Ciri, Pengertian Media Sosial Menurut Para Ahli & Dampak Positif Negatifnya


Langkah-langkah perumusan masalah pemrograman linier ( LPP).

Langkah-langkah berikut yang terlibat dalam perumusan linear programming probel ( LPP).


  • Langkah 1 : mengidentifikasi variabel keputusan masalah.
  • Langkah 2 : membangun fungsi tujuan sebagai kombinasi lonear dari variabel keputusan ,
  • Langkah 3 mengidentifikasi kendala dari masalah seperti sumber daya , limitions , antar – hubungan antara variabel , dll Merumuskan kendala ini sebagai persamaan linear atau inequations dalam hal variabel keputusan non negatif.

Dengan demikian , LPP adalah kumpulan fungsi tujuan , himpunan kendala dan set non -negatif kendala.


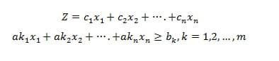
Bentuk Umum LPP

LPP umum dapat digambarkan sebagai berikut :


bentuk-umum-lpp-9810975

Diberikan satu set m – linear kesenjangan atau persamaan dalam n – variabel , kita ingin mencari nilai-nilai non-negatif dari variabel-variabel yang akan memenuhi kendala dan mengoptimalkan ( memaksimalkan atau meminimalkan ) fungsi linier dari variabel-variabel ( fungsi tujuan ).


Secara matematis , kami memiliki kesenjangan m – linear dengan n – variabel (m dapat lebih besar dari , kurang dari atau sama dengan n ) dari bentuk tersebut. Untuk setiap kendala, hanya satu dari tanda-tanda ini (≥, = , ≤) digunakan, tapi dapat bervariasi dari satu kendala kepada kendala yang lain untuk mencari nilai variabel Xj memenuhi ( 3.1 ) dan  yang memaksimalkan atau meminimalkan fungsi linea.


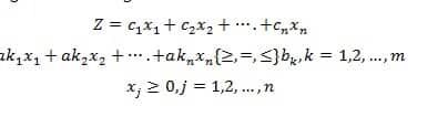
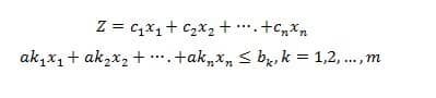
LPP dalam Bentuk Canonical

secara umum ≤ kendala akan dikaitkan dengan maksimalisasi LPP dan ≥ kendala dengan minimalisasi LPP.

Maksimalisasi :

lpp-dalam-bentuk-canonical-8114094 Minimalisasi :

lpp-dalam-bentuk-canonical1-2786186 Catatan: kendala yang berbeda mungkin memiliki tanda-tanda yang berbeda
Catatan: ketika tidak ada disebutkan tentang kenegativan variabel, maka terbatas dalam tanda atau diabaikan.


Baca Juga Artikel Yang Mungkin Berhubungan :  “Media Massa” Pengertian & ( Jenis – Karakteristik – Fungsi – Perkembangan )


Metode Grafis

Masalah Program linear yang memiliki dua variabel keputusan bisa di selesaikan dengan menggunakan metode grafis. dengan menggunakan hasil yang telah dibuktikan pada seksi 3.3, solusi yang optimal untuk menyelesaikannya dapat ditemukan dengan mengevaluasi fungsi objektif untuk setiap titik puncak dari daerah yang dikerjakan. Adapun cara pengerjaan Masalah  Program Linear dengan metode grafis ini dapat diliat seperti berikut :


langkah 1 : Rumuskan Masalah Program Linear seperti yang telah didiskusikan pada bagian 3.2

langkah 2 : letakkan semua pembatas pada kertas grafis dan bayangan dari daerah yang memungkinkan untuk dikerjakan

langkah 3 : catat semua titik ekstrim pada daerah yang dikerjakan kemudian evaluasi nilai dari fungsi objektif pada setiap titik ekstrik tersebut.


  • Pendekatan fungsi garis Iso-Profit (harga) 

Setelah mengikuti langkah 1 dan 2 pada bagian 3.4.1 :

langkah 3 : gambar sebuah garis iso-profit (iso-harga) untuk nilai kecil dari fungsi objektif tanpa melanggar batas dari masalah yang telah diberikan.


langkah 4 : pindahkan garis paralel iso-profit (iso-cost) dalam arah peningkatan (atau penurunan) fungsi objektif.

langkah 5 : titik ekstrim yang dipindahakn merupakan solusi optimal.


Pengganti (atau ganda) solusi optimal

Pada kasus ini garis iso-profit bertepatan dengan ujung dari daerah yang dikerjakan. Jadi, disana akan terdapat banyak titik yang tak terbatas yang mana fungsi objektif nya maksimum.  Dengan demikian,garis iso-profit akan memberikan solusi optimal dan solusi ini akan menghasilkan nilai yang sama dengan nilai fungsi objektif.


Ketika nilai variabel yang ditentukan dalam program linear meningkat tak terbatas tanpa melanggar daerah yang dikerjakan, solusi nya bisa dikatan tak tebatas.


  • Solusi tak dapat dibatalkan

Hal ini dapat terjadi ketika tidak ada nilai dari variable yang memuaskan semua pembatas secara serempak;kesamaan.


Baca Juga Artikel Yang Mungkin Berhubungan : Perilaku Menyimpang : Pengertian, Ciri, Dan Jenis Beserta Contohnya Secara Lengkap

Mungkin Dibawah Ini yang Kamu Cari

website Pelajaran SD SMP SMA dan Kuliah Terlengkap

Materi pelajaran terlengkap

mata pelajaran
jadwal mata pelajaran mata pelajaran sma jurusan ipa mata pelajaran sd mata pelajaran dalam bahasa jepang mata pelajaran kurikulum merdeka mata pelajaran dalam bahasa inggris mata pelajaran sma jurusan ips mata pelajaran sma
bahasa inggris mata pelajaran
bu ani memberikan tes ujian akhir mata pelajaran ipa
tujuan pemberian mata pelajaran pendidikan kewarganegaraan di sekolah adalah
dalam struktur kurikulum mata pelajaran mulok bersifat opsional. artinya mata pelajaran smp mata pelajaran ipa mata pelajaran bahasa indonesia mata pelajaran ips mata pelajaran bahasa inggris mata pelajaran sd kelas 1
data mengenai mata pelajaran favorit dikumpulkan melalui cara
soal semua mata pelajaran sd kelas 1 semester 2 mata pelajaran smk mata pelajaran kelas 1 sd mata pelajaran matematika mata pelajaran ujian sekolah sd 2022
bahasa arab mata pelajaran mata pelajaran jurusan ips mata pelajaran sd kelas 1 2021 mata pelajaran sbdp mata pelajaran kuliah mata pelajaran pkn
bahasa inggrisnya mata pelajaran mata pelajaran sma jurusan ipa kelas 10 mata pelajaran untuk span-ptkin mata pelajaran ppkn mata pelajaran ips sma mata pelajaran tik
nama nama mata pelajaran dalam bahasa inggris mata pelajaran pkn sd mata pelajaran mts mata pelajaran pjok
nama nama mata pelajaran dalam bahasa arab mata pelajaran bahasa inggrisnya mata pelajaran bahasa arab
seorang pengajar mata pelajaran akuntansi di sekolah berprofesi sebagai
nama mata pelajaran dalam bahasa jepang
hubungan bidang studi pendidikan kewarganegaraan dengan mata pelajaran lainnya
dalam struktur kurikulum mata pelajaran mulok bersifat opsional artinya mata pelajaran dalam bahasa arab
tujuan mata pelajaran seni rupa adalah agar siswa

You May Also Like

About the Author: Hack Adm

Tinggalkan Balasan

Alamat email Anda tidak akan dipublikasikan. Ruas yang wajib ditandai *