Pengertian Deret Aritmatika
Barisan aritmatika disebut juga barisan aritmatika.
Jika suku-suku dalam barisan aritmetika dijumlahkan, akan diperoleh deret aritmetika. Jadi, bentuk baku deret aritmatika adalah a + (a + b) + (a + 2b) + (a + 3b) + … + (a + (n – 1)b).
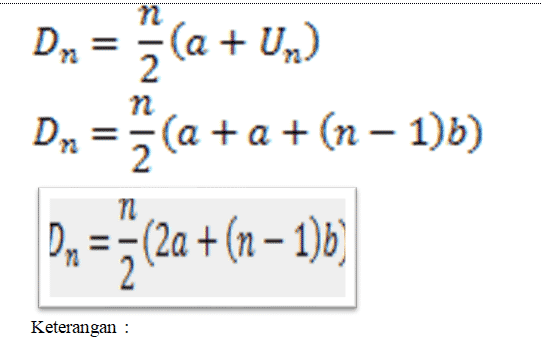
Jika jumlah n suku suatu deret aritmatika dinyatakan dengan Sn. Maka didapat rumus :

Contoh Deret Aritmatika Sola
Contoh masalah:
Hitunglah jumlah 20 suku pertama barisan aritmetika 3 + 5 + 7 + …..
Menjawab:

Barisan dan deret aritmatika
Barisan aritmetika adalah barisan yang suku-suku berurutannya memiliki jumlah penjumlahan yang tetap. Pada barisan aritmatika terdapat beberapa suku. Istilah-istilah ini adalah batang, batang pertama, dan perbedaan. Batang adalah bilangan yang menyusun barisan aritmatika. Suku pertama adalah bilangan atau bilangan pertama dari deret aritmatika. Sedangkan selisih adalah selisih antara setiap suku dengan suku pertama, dimana nilai selisihnya tetap seperti yang didefinisikan di atas. Contoh:

Jadi, dari bentuk umum barisan aritmetika di atas, dapat ditentukan atau ditulis sebagai berikut. Formula ini dituliskan, dengan tujuan untuk memudahkan penentuan istilah skala besar. Kita akan misalkan suku 1000. Tidak mungkin jika kita akan menyusun barisan aritmetika sampai 1000 kali. Oleh karena itu, rumus ini dapat memudahkan kita untuk menentukannya.

Untuk lebih memahami pernyataan di atas, mari kita simak contoh soal berikut ini. Contoh:
Tentukan suku ke-10 dari barisan aritmetika 2,5,8,11,…..!

Barisan aritmetika adalah penjumlahan dari bilangan-bilangan dalam barisan aritmetika. Sama halnya dengan barisan aritmatika, dalam barisan aritmatika juga dikenal istilah akar, selisih, dan suku pertama. Hanya saja ada perbedaan dalam hal pemahaman. Dalam barisan aritmatika, setiap suku pertama akan ditentukan, suku kedua akan ditambahkan pada selisih setiap suku, kemudian suku ketiga, yaitu suku pertama akan ditambahkan dua kali pada suku pertama, dan seterusnya dengan setiap suku akan mengalami perbedaan nilai, dimana nilai perbedaan tersebut juga akan meningkat pada setiap regangan.
Jadi dapat dikatakan bahwa setiap bertambahnya suku maka nilai selisihnya juga akan bertambah dan nilai masing-masing suku juga akan bertambah. Untuk lebih memahami pernyataan di atas dapat dilihat dan dipahami dalam bentuk umum yang akan disajikan sebagai berikut.

Dalam barisan aritmetika kita juga dapat menentukan barisan dari barisan aritmetika. Untuk menentukannya, kita dapat menggunakan rumus berikut.

DA = deret ke-n (jumlahkan suku ke-n).
Garis geometri
Barisan geometri adalah barisan yang suku-sukunya merupakan kelipatan dari suatu bilangan tetap. Dalam barisan dan deret geometri, istilah suku dan suku pertama juga dikenal. Hanya saja yang membedakan satu batang dengan batang lainnya adalah kelipatan dari setiap batang atau biasa disebut rasio. Untuk lebih memahami tentang barisan geometri, perhatikan contoh berikut.
Contoh:
4,8,16,32,63,…..dst
Ini sama dengan barisan aritmetika di atas untuk setiap suku susunannya sama. Yaitu kamu1, Anda2,Anda3, dll. Untuk menemukan suku-suku dalam barisan geometri, persamaan berikut dapat digunakan.

Untuk lebih memahami penggunaan persamaan ini, perhatikan contoh berikut.
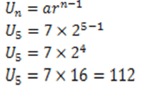
Tentukan suku ke-5 dari barisan di bawah ini!
7,14,….,112,224.
Menjawab:
Anak: a = 7
r = 2
Ini: U5 = ….?

Untuk mencari nilai kelipatan atau rasio dari setiap suku, kita hanya perlu membagi setiap dua suku yang berbeda. Katakanlah suku kedua dibagi dengan suku pertama. Dengan menggunakan prinsip ini, diperoleh nilai rasio suatu barisan geometri. Atau secara matematis dapat ditulis sebagai berikut.

Informasi:
r = Rasio
AndaX = Suku yang lebih besar
Anday = batang lebih kecil
Demikian artikel Duniaduniadik.co.id mengenai Deret Aritmatika: Contoh, Rumus, Pengertian, Perbedaan, Geometri, semoga artikel ini bermanfaat untuk sobat semua.
website Pelajaran SD SMP SMA dan Kuliah Terlengkap
mata pelajaran
jadwal mata pelajaran mata pelajaran sma jurusan ipa mata pelajaran sd mata pelajaran dalam bahasa jepang mata pelajaran kurikulum merdeka mata pelajaran dalam bahasa inggris mata pelajaran sma jurusan ips mata pelajaran sma
bahasa inggris mata pelajaran
bu ani memberikan tes ujian akhir mata pelajaran ipa
tujuan pemberian mata pelajaran pendidikan kewarganegaraan di sekolah adalah
dalam struktur kurikulum mata pelajaran mulok bersifat opsional. artinya mata pelajaran smp mata pelajaran ipa mata pelajaran bahasa indonesia mata pelajaran ips mata pelajaran bahasa inggris mata pelajaran sd kelas 1
data mengenai mata pelajaran favorit dikumpulkan melalui cara
soal semua mata pelajaran sd kelas 1 semester 2 mata pelajaran smk mata pelajaran kelas 1 sd mata pelajaran matematika mata pelajaran ujian sekolah sd 2022
bahasa arab mata pelajaran mata pelajaran jurusan ips mata pelajaran sd kelas 1 2021 mata pelajaran sbdp mata pelajaran kuliah mata pelajaran pkn
bahasa inggrisnya mata pelajaran mata pelajaran sma jurusan ipa kelas 10 mata pelajaran untuk span-ptkin mata pelajaran ppkn mata pelajaran ips sma mata pelajaran tik
nama nama mata pelajaran dalam bahasa inggris mata pelajaran pkn sd mata pelajaran mts mata pelajaran pjok
nama nama mata pelajaran dalam bahasa arab mata pelajaran bahasa inggrisnya mata pelajaran bahasa arab
seorang pengajar mata pelajaran akuntansi di sekolah berprofesi sebagai
nama mata pelajaran dalam bahasa jepang
hubungan bidang studi pendidikan kewarganegaraan dengan mata pelajaran lainnya
dalam struktur kurikulum mata pelajaran mulok bersifat opsional artinya mata pelajaran dalam bahasa arab
tujuan mata pelajaran seni rupa adalah agar siswa