Tahukah anda apa yang dimaksud dengan Gerakan Vertikal Ke Atas??? Jika Anda belum mengetahuinya, Anda tepat untuk mengunjungi guruducacy.com. Karena pada kesempatan kali ini kita akan membahas secara lengkap pengertian Gerak Vertikal Ke Atas, ciri-ciri Gerak Vertikal Ke Atas, dan Rumus Gerak Vertikal Ke Atas beserta contoh soal gerak jatuh bebas. Oleh karena itu, mari kita simak ulasan di bawah ini.

Definisi gerak vertikal ke atas
Material gerak vertikal ke atas berkaitan erat dengan material gerak jatuh bebas dan gerak bujursangkar yang berubah-ubah secara seragam. Gerak vertikal ke atas (VMA) benda ini memiliki kecepatan awal. Sebuah objek akan mengalami delay saat semakin tinggi. Pada ketinggian maksimum, benda akan berhenti sesaat dan akan jatuh. Perhatikan contoh di bawah ini ketika seorang anak melempar bola, ia akan mencapai ketinggian tertentu dan jatuh kembali ke tangan anak tersebut.
Karena benda bergerak ke atas, benda melawan gravitasi, sehingga mengalami perlambatan. Percepatan benda bertanda negatif karena berlawanan arah dengan percepatan gravitasi. ketika benda mencapai ketinggian maksimum, kecepatan benda adalah NOL. Atau kecepatan akhir benda adalah NOL. Berbeda dengan kasus gerak jatuh bebas dimana kecepatan awalnya nol.
Ciri-ciri gerakan vertikal ke atas
- Suatu benda dikatakan bergerak vertikal ke atas jika memiliki ciri-ciri sebagai berikut:
- Sebuah benda bergerak dalam garis lurus dengan arah vertikal
- Benda bergerak dari titik terendah ke titik tertinggi
- Kecepatan benda sering berubah (berkurang)
- Kecepatan benda di titik tertinggi (ketinggian maksimum) adalah nol
- Objek mereproduksi (a=-g)
Rumus gerak vertikal ke atas
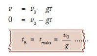
Rumus waktu yang dibutuhkan benda untuk mencapai ketinggian maksimumnya :
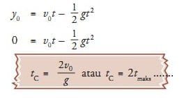
Rumus waktu yang diperlukan benda untuk jatuh kembali

Informasi:
- tmax = waktu yang dibutuhkan benda untuk mencapai ketinggian maksimumnya (s).
tc = waktu yang diperlukan benda untuk mundur (s) - 200%;”>v0 = kecepatan awal (m/s)
- g = percepatan gravitasi (10 m/s2)
- y = tinggi benda (m)
Contoh soal gerak vertikal ke atas
Contoh 1
Andi melempar bola ke atas dengan kecepatan 12 m/s. Pertanyaannya adalah (a) waktu yang dibutuhkan bola untuk mencapai ketinggian maksimum. (b) berapa ketinggian yang dicapai bola?
Menjawab:
Dikenal:
v0 = 12 m/sg = 10 m/s2
(a) tmaks = v0 : g
hunian
tmaks = 12 : 10 = 1,2 detik
Karena itu waktu untuk mencapai ketinggian maksimum adalah 1,2 detik.
(b) y = v0t – ½ gt2
y = 12 x 1,2 – ½ x 10 x 1,22
y = 14,4 – 7,2
y = 7,2 m
Karena itu Ketinggian yang dicapai benda adalah 7,2 meter.
Contoh 2
Sebuah batu dilempar vertikal ke atas dengan kecepatan awal (V0) 20m/dtk. Tinggi maksimum bola adalah (g = 10 m/s2) ……. ?
A.10 m
B.20 m
C.40 m
D.100 m
Diskusi
Ketika sebuah benda mencapai ketinggian maksimumnya, maka VT = 0. Maka tinggi maksimum dapat dicari dengan persamaan:
QT2 = V02 – 2. G. H
02 = 202 – 2. 10. H
0 = 400 – 20 jam
20 jam = 400
h = 400/20
= 20m
Jawaban: B
Contoh 3
Sebuah benda dilempar vertikal ke atas dengan kecepatan awal 10 m/s. Maka waktu yang diperlukan benda untuk mencapai ketinggian maksimumnya adalah …….
A.1 dtk
B.20 dtk
C.4 dtk
D.10 dtk
Diskusi
Pada titik tertinggi, kecepatan akhir adalah VT = 0 dan percepatan gravitasi bernilai negatif karena berlawanan dengan arah gerak benda, maka:
QT = V0 – G. T
0 = 10 – 10. t
10 t = 10
t = 1 detik
Jawaban: A
Contoh 4
Sebuah bola dilemparkan ke atas dengan kecepatan awal 30 m/s. Jika percepatan gravitasi 10 m/s2 berapa lama waktu yang dibutuhkan untuk mencapai titik tertingginya, dan berapa tinggi maksimumnya?
A.3 dtk
B.4 dtk
C.5 dtk
D.18s
Diskusi
Pada titik tertinggi, kecepatan akhir adalah VT = 0, maka:
QT = V0 – G. T
0 = 30 – 10. t
10 t = 30
t = 30/10
= 3 detik
Jawaban: A
Contoh 5
Seorang atlet melempar lembingnya ke atas dengan kecepatan awal 30 m/s. Tombak mencapai puncak tertingginya dalam 5 detik, berapa tinggi yang dicapainya?
A.25 m
B.4 m
C.50 m
D.18 m
Diskusi

Baca juga:
website Pelajaran SD SMP SMA dan Kuliah Terlengkap
mata pelajaran
jadwal mata pelajaran mata pelajaran sma jurusan ipa mata pelajaran sd mata pelajaran dalam bahasa jepang mata pelajaran kurikulum merdeka mata pelajaran dalam bahasa inggris mata pelajaran sma jurusan ips mata pelajaran sma
bahasa inggris mata pelajaran
bu ani memberikan tes ujian akhir mata pelajaran ipa
tujuan pemberian mata pelajaran pendidikan kewarganegaraan di sekolah adalah
dalam struktur kurikulum mata pelajaran mulok bersifat opsional. artinya mata pelajaran smp mata pelajaran ipa mata pelajaran bahasa indonesia mata pelajaran ips mata pelajaran bahasa inggris mata pelajaran sd kelas 1
data mengenai mata pelajaran favorit dikumpulkan melalui cara
soal semua mata pelajaran sd kelas 1 semester 2 mata pelajaran smk mata pelajaran kelas 1 sd mata pelajaran matematika mata pelajaran ujian sekolah sd 2022
bahasa arab mata pelajaran mata pelajaran jurusan ips mata pelajaran sd kelas 1 2021 mata pelajaran sbdp mata pelajaran kuliah mata pelajaran pkn
bahasa inggrisnya mata pelajaran mata pelajaran sma jurusan ipa kelas 10 mata pelajaran untuk span-ptkin mata pelajaran ppkn mata pelajaran ips sma mata pelajaran tik
nama nama mata pelajaran dalam bahasa inggris mata pelajaran pkn sd mata pelajaran mts mata pelajaran pjok
nama nama mata pelajaran dalam bahasa arab mata pelajaran bahasa inggrisnya mata pelajaran bahasa arab
seorang pengajar mata pelajaran akuntansi di sekolah berprofesi sebagai
nama mata pelajaran dalam bahasa jepang
hubungan bidang studi pendidikan kewarganegaraan dengan mata pelajaran lainnya
dalam struktur kurikulum mata pelajaran mulok bersifat opsional artinya mata pelajaran dalam bahasa arab
tujuan mata pelajaran seni rupa adalah agar siswa